Download

ORIGINAL ARTICLE

Rosa moschata leaf extract ameliorates Alzheimer’s disease in AlCl3 + D-galactose induced Alzheimer’s rat model via modulation of neuroinflammatory biomarkers and suppression of oxidative stress markers

Norah K. Algarzae1, Uzma Saleem2*, Ifat Alsharif3, Rabeea Safdar4, Zunera Chauhdary4, Moneerah J. Alqahtani5, Jawaher Alqahtani5, Fatima A. Jaber6, Tourki A. S. Baokbah7, Reem Hasaballah Alhasani8, Tasahil S. Albishi9, Sultan F. Kadasah10,11, Sultan M. Alshahrani11,12, Nada M. Mostafa13, Omayma A. Eldashan13, Agustina Lulustyaningati Nurul Aminin14, Muhammad Ajmal Shah14,15*, Rana O. Khayat16, Aishah E. Albalawi17, Ana Sanches Silva18,20*

1Department of Physiology, College of Medicine, King Saud University, Riyadh, Saudi Arabia;

2Punjab University College of Pharmacy, University of the Punjab, Lahore;

3Department of Biology, Jamoum University College, Umm Al-Qura University, Makkah, Saudi Arabia;

4Department of Pharmacology, Faculty of Pharmaceutical Sciences, Government College University, Faisalabad, Pakistan;

5Department of Pharmacognosy, College of Pharmacy, King Saud University, Riyadh, Saudi Arabia;

6Department of Biological Sciences, College of Science, University of Jeddah, Jeddah, Saudi Arabia;

7Department of Medical Emergency Services, College of Health Sciences-AlQunfudah, Umm Al Qura University, Saudi Arabia;

8Department of Biology, Faculty of Science, Umm Al-Qura University, Makkah, Saudi Arabia;

9Department of Biology, College of Sciences, Umm Al-Qura University, Makkah, Saudi Arabia;

10Department of Biology, Faculty of Science, University of Bisha, Bisha, Saudi Arabia;

11King Salman Center for Disability Research, Riyadh, Saudi Arabia;

12College of Pharmacy, King Khalid University, Abha, Saudi Arabia;

13Department of Pharmacognosy, Faculty of Pharmacy, Ain Shams University, Cario, Egypt;

14Department of Chemistry, Faculty of Science & Mathematics, Diponegoro University, Semarang, Indonesia;

15Department of Pharmacy, Hazara University, Mansehra, Pakistan;

16Department of Biology, College of Science, Umm Al-Qura University, Makkah, Saudi Arabia;

17Department of Biology, Faculty of Science, University of Tabuk, Tabuk, Saudi Arabia;

18Center for Study in Animal Science (CECA), ICETA, University of Porto, Porto, Portugal;

19University of Coimbra, Faculty of Pharmacy, Polo III, Azinhaga de St. Comba, Coimbra, Portugal;

20Associate Laboratory for Animal and Veterinary Sciences (Al4AnimalS), Lisbon, Portugal

Abstract

Conventional treatment strategies provide symptomatic relief from Alzheimer’s disease (AD), but their long-term use is associated with the progression of neuronal degeneration. Considering the previously reported in vitro neuroprotective activity of Rosa moschata, this study was designed to evaluate the anti-Alzheimer’s potential of R. moschata leaf extract (RMLE) at safe doses in an aluminum chloride + D-galactose-induced AD rat model. An HPLC/ESI-MS analysis of the RMLE was performed to identify the neuroprotective phytochemicals. An oral acute toxicity study was conducted to determine the safe dosage levels. For the development of the AD model, aluminum chloride + D-galactose (150 mg/kg each) were administered simultaneously to rats, except the control group. RMLE at 50, 100, and 150 mg/kg was administered orally to the treatment groups for three weeks. Neurobehavioral studies were performed, and the levels of antioxidant enzymes and neurotransmitters in the brain homogenate were assessed. Using qPCR, the mRNA expression of neuropathological biomarkers of AD was estimated.

HPLC/ESI-MS analysis revealed the presence of 12 compounds in negative mode and 2 compounds in positive ionic mode, exhibiting antioxidant and neuroprotective potential. RMLE improved rat behavioral parameters in a dose-dependent manner through the inhibition of oxidative stress and acetylcholinesterase. Neurotransmitter levels and gene expression of neurodegenerative and neuroinflammatory biomarkers (IL-1β, IL-1α, TNF-α, ABPP, β-secretase, and α-synuclein) were significantly restored (P < 0.05) in a dose-dependent manner by RMLE. These findings support the therapeutic application of extracts obtained from R. moschata leaves in neurodegeneration, particularly in AD.

Key words: animal behavior, anti-alzheimer’s, neurodegeneration, neuroinflammation, phytomedicine, Rosa moschata

*Corresponding Authors: Uzma Saleem, Punjab University College of Pharmacy, University of the Punjab, Lahore. Email: [email protected]; Muhmmad Ajmal Shah, Department of Pharmacy, Hazara University, Mansehra, Pakistan. Email: [email protected]; Ana Sanches Silva, Associate Laboratory for Animal and Veterinary Sciences (Al4AnimalS), Lisbon, Portugal. Email: [email protected]

Academic Editor: Prof. Tommaso Beccari—University of Perugia, Italy

Received: 11 April 2025; Accepted: 31 May 2025; Published: 1 October 2025

DOI: 10.15586/ijfs.v37i4.3123

© 2025 Codon Publications
This is an Open Access article distributed under the terms of the Creative Commons Attribution-NonCommercial-ShareAlike 4.0 International (CC BY-NC-SA 4.0). License (http://creativecommons.org/licenses/by-nc-sa/4.0/)

Introduction

Our routine bodily activities, such as balance, movement, memory, and learning, are significantly influenced by degenerative nerve diseases. These neurodegenerative disorders remain disabling and incurable, with conventional treatment strategies providing, for example, symptomatic relief from Alzheimer’s disease (AD), but whose long-term use is associated with the progression of neuronal degeneration (Cummings et al., 2020). Therefore, it is crucial to develop modern strategies to treat such disorders (Yiannopoulou et ., 2020). The fundamental process underlying the clinical symptoms of multiple neurodegenerative disorders and stroke is neuronal death (McGirr et al., 2020). Neuronal apoptosis is induced by the combined effects of environmental and genetic factors, including the effects of ageing itself. In AD, mutations in the amyloid precursor protein and presenilin induce the formation of amyloid plaques (McGirr et al., 2020). At the cellular level, changes in calcium homeostasis and altered metabolism can cause neuronal apoptosis in neurological disorders. Innovative therapeutic approaches to mitigate and prevent neurological disorders constitute a clinical need today. The exact etiopathogenesis of AD is not yet clear, although amyloid-β protein is a possible key mediator of AD pathophysiology, forming oligomers and dimers in the brain that lead to protein aggregates visible in brain tissues as amyloid plaques (Sengoku et al., 2020).

In the healthcare system, many challenges have emerged due to the massive increase and ageing of the human population. Today, 1 in 9 people is over 60 years (Leng et al., 2021). With longer life expectancy and advancing age, neurological disorders are also more prevalent, presenting symptoms such as cognitive aberrations, motor dysfunctions, dementia, and behavioral abnormalities (Janelidze et al., 2021).

On the other hand, oxidative stress is also a leading cause of dementia, mediated by destructive free radicals that increase with age. There are some naturally occurring antioxidants such as vitamin C and E, polyphenols, and flavonoids that have preventive effects on neurodegenerative diseases. This especially includes the preventive effects of green tea polyphenols on the apoptosis of PC12 cells (Parkinson’s disease model), Ginkgo biloba extract on neuron cells, Crataegus flavonoids on ischemic–reperfusion damage in the brain of the Mongolian gerbil, and genistein on amyloid-β-induced apoptosis of hippocampal neuronal cells (Alzheimer’s disease model) (Zhao et al., 2005). AD can also be characterized by decreased levels of acetylcholine as a ‘messenger’ or neurochemical in the brain. This neurotransmitter is involved in judgment, memory, and other thought processes. Naturally, many neuronal cells are responsible for releasing acetylcholine to transmit messages to other cells (Yi et al., 2020). Once the message has been received, acetylcholinesterase is an enzyme in the brain that causes the breakdown of acetylcholine in the synapses. In AD, the amount of acetylcholine is reduced due to damage to the cells involved in the use and production of acetylcholine, resulting in symptoms of AD (Han et al., 2021). Acetylcholinesterase inhibitors are commonly used for the treatment of AD. Serine hydrolase is an acetylcholinesterase (AChE) enzyme responsible for terminating signal transmission in the cholinergic system due to its hydrolytic activity. By suppressing serine hydrolase activity with inhibitor drugs, most neuronal disorders—such as AD, dementia, and Lewy body dementia—can be treated. However, these AChE inhibitors only temporarily prevent and treat neuronal cell death and neurodegeneration. Conventional medications including galantamine, rivastigmine, and donepezil are used to reduce the hallmarks of this disease (Nebel et al., 2018). However, the chronic use of these anti-Alzheimer drugs is associated with the worsening progression of the disease (Yi et al., 2020). Therefore, the development of novel therapeutic agents that are cost-effective and centrally target the disease is necessary. Modern strategies to treat AD also include the implementation of antioxidant therapies to specifically target the pathogenesis of AD (Hossain et al., 2021).

Therefore, it is necessary to isolate pure bioactive constituents to treat neuronal disorders in preference to synthetic compounds. Rosa moschata of the Rosaceae family, generally cultivated in western countries, has been traditionally used for a long time in the management of multiple mental illnesses. Previous studies have reported the acetylcholinesterase, butyrylcholinesterase inhibitory, and antioxidant activities of R. moschata leaf extracts. Based on their reported cholinesterase inhibitory and strong antioxidant activities (Nazir et al., 2020), R. moschata leaves may exhibit potent anti-Alzheimer activity. The important phytochemicals of R. moschata include palmitic acid, margaric acid, linolenic acid, vitamins A, C, E, flavonoids, and essential oils. Considering the therapeutic and medicinal properties of R. moschata constituents, the present experimental work aims to explore the molecular mechanisms of the neuroprotective effects of R. moschata leaf extract (RMLE) in ethanol, as well as through behavioral and biochemical studies.

Material and Methods

Plant extraction and phytochemical characterization

The plant was collected from Shangla, Pakistan, and after removing dirt and all other unnecessary substances, the leaves were dried in the shade for 15 days. After drying, they were ground into powder to achieve efficient extraction results. RMLE was prepared by microwave-assisted green extraction using 50 g of plant powder in 700 mL ethanol for 90 s with five repeated cycles (microwave on for 90 s and off for 30 s) at a power of 900 watts. After filtration, the extract was dried using a rotary evaporator (Farrukh et al., 2022; Shah et al., 2017; Shah et al., 2019).

HPLC/ESI-MS analysis of RMLE

HPLC with an ESI-MS analysis of the RMLE extract was performed according to the reported standard protocol, following the same conditions of mobile phase composition and elution rate (Abdelghffar et al., 2021).

Animal husbandry

Nonpregnant nulliparous female rats were purchased to perform an acute toxicity study according to the OECD 425 guidelines. Healthy male Wistar rats aged 15 weeks and weighing between 100–150 g were selected for the anti-Alzheimer study. The animals were purchased and housed at the animal facility of Government College University Faisalabad. The animals were placed in the animal house one week before the start of the experimental activity to acclimatize. Standard conditions were maintained in the animal house (30–60% humidity, 25°C ± 3 ambient temperature, and 12 h light and dark cycles) with free access to water and food. After receiving approval from the Institutional Review Board (Ref No. GCUF/ERC/107) of Government College University Faisalabad, the animal studies were performed.

Acute toxicity study

An OECD test guideline 425 was followed to conduct the acute oral toxicity study of RMLE. The limit dose (2000 mg/kg) was administered orally to a non-pregnant female rat, which was then carefully observed for 30 min initially and then every 4 h. Four more female rats were given the same dose after the survival of the first female rat. On the other hand, five more female rats were kept in the control group and given 10% saline solution. These two groups (treated and controls) were treated in the same way and closely monitored every 30 min for 6 h and then monitored for 14 days at the same regular intervals. The weight of all animals was recorded after 14 days, and then, under anesthesia, blood samples were collected. For biochemical and hematological analysis, serum samples were collected. For histopathological examination, vital organs of all animals were isolated and then preserved in 10% formalin solution (Saleem et al., 2017).

Experimental model

Six groups of all animals were made as follows:

  1. Group 1: The control group received distilled water.

  2. Group 2: Treated orally with D- galactose 150 mg/kg + aluminum chloride 150 mg/kg and served as the diseased group.

  3. Group 3: Treatment orally with rivastigmine (3mg/kg) + AlCl3 (150 mg/kg) + D-galactose (150 mg/kg) served as the standard group.

  4. Groups 4, 5 and 6: Treatment with RMLE 50, 100, and 150 mg/kg and aluminum chloride 150 mg/kg + D-galactose 150 mg/kg (orally) for a 21-day period.

Behavioral tests

Open-field test

The animal’s locomotor activity and non-associative learning were assessed by monitoring spontaneous activity in an open field. The device was designed as a square field measuring 60 × 60 cm and 25 cm high, divided into 36 squares. The 20 squares along the open field’s walls were designated as the periphery field, while 16 were designated as the exposed field. The animals were each given five minutes to explore the field in the left quadrant. A camera was used to record general movement, peeing, line crossings, rearing, grooming, and excrements (Saleem et al., 2021).

Y-maze test

For the evaluation of cognitive performance and memory, this test was performed by recording spontaneous alterations in rodents. This test also assesses the animal’s tendency to explore a new environment. The device consisted of three plywood arms arranged at an angle of 120° to each other, called arms A, B, and C. The walls were 20 cm high and made of acrylic. The rats were placed into the arms one by one. One hour after the last treatment, each uninformed individual was allowed to spend 8–10 minutes exploring the maze. The number of arm entries made by each rat using all four paws was counted. The degree of repetitive arm entries was used to identify spontaneous alternations observed (ABC, BCA, or CBA), which indicate the rats’ short-term memory (Saleem et al., 2021).

The following formula was used to measure the percentage alteration:

Alternation percent=Actual alterationMaximum spontaneous alteration100Spontaneous alterations=Total number of arms entered2

Hole board test

To carry out this test, the apparatus was made of plexiglas, with dimensions of 25 × 25 cm and a wall height of 30 cm. There were 16 equidistant holes in the floor. About 1.5 m above the base, a hole board was placed. The following test was performed to evaluate the memory and exploratory behavior of rats. Animals were placed in the assembly, and food material was placed below the hole board. After that, the rats were attracted to the food and lowered their heads to reach it. One trial was conducted with food, and a second trial was conducted with food removal, allowing the rats to explore. This procedure helped distinguish healthy rats with good memory from rats with AD, which forgot the holes and were unable to explore effectively (Chauhdary et al., 2019).

Wire hanging test

A wire hanging test was performed using the method of Chitra et al. [50]. For this test, the device consisted of stainless-steel wires placed horizontally and spaced 3 inches apart. These wires were positioned on top of a 50 cm high wooden platform. The animals were carefully placed on the grid until the rats grabbed the wires with their hind and fore paws. After that, all the animals were hung in a vertical position on the wire grid. Rats were required to remain on the wire grid for a period of 30 s. Hanging time was recorded from 30 seconds up to 1 minute (Chauhdary et al., 2019).

Determination of oxidative stress biomarkers

Composition of homogenate of animal’s brain

Following light anesthesia with 3% isoflurane, the animals were sacrificed by decapitation, and their brains were extracted, washed with cold water, and stored at −80°C. A tissue homogenizer was used to prepare the homogenate using phosphate buffer with a pH of 7.4 and a molarity of 0.1 M. The homogenate was centrifuged for 20 minutes at 2000 rpm and 4°C to obtain the supernatant (Al-Amin et al., 2016).

Estimation of malondialdehyde (MDA) level

In the sample, the concentration of MDA was used to estimate lipid peroxidation. It was analyzed by mixing 1 mL of rat brain tissue homogenate with 3 mL of TBA (thiobarbituric acid), followed by continuous stirring. The mixture was then incubated for 15 minutes and centrifuged at 3000 rpm for 10 minutes. After that, the absorbance was recorded at a wavelength of 532 nm (Saleem et al., 2019).

By using the underlying equation, MDA levels were calculated:

MDA=Abs×100×volume of mixture usedC×tissue weight×Volume of aliquot used

Catalase (CAT) activity estimation

For this purpose, 1.95 mL of phosphate buffer (50 mM) was mixed with 50 µL of tissue homogenate. Finally, 1 mL of 30 mM H2O2 was added. Absorbance was recorded at 240 nm. Catalase activity was expressed in micromoles per milligram of protein (Parambi et al., 2020).

CAT=δO.DE×Volume of samplemL×proteinmg

E: 0.071 mmol/cm; H2O2 extinction coefficient value

Estimation of the reduced glutathione (GSH) level

10% trichloroacetic acid (TCA) (1 mL) was mixed with the tissue homogenate (1 mL), and the mixture was centrifuged for 20 minutes at 3000 rpm. Ellman’s reagent (0.5 mL) was mixed with phosphate buffer (pH 8, 4 mL). The absorbance was recorded at a wavelength of 412 nm. The level of GSH was expressed in micrograms per mg unit (Saleem et al., 2019).

GSH=Y0.003140.034×dilution factortissue homogenate×aliquot volume used

Estimation of superoxide dismutase (SOD)

This method was used to measure superoxide dismutase activity. The serum sample (0.1 mL) was added to 1.2 mL of sodium phosphate buffer (0.05 M, pH 8.3). After that, 0.3 mL of nitro tetrazolium blue and 0.1 mL of phenazine methosulfonate were added to the reaction mixture. The mixture was then left to stand for 90 minutes at 30°C. After incubation, 0.1 mL of glacial acetic acid was added, and the upper layer of the mixture was separated following centrifugation, after the addition of 5 mL of n-butanol. The absorbance was then recorded at a wavelength of 560 nm (Saleem et al., 2020).

Determination of neurotransmitters

Isolation of aqueous phase

For the formulation of the tissue homogenate, butanol hydrochloric acid was used, and the supernatant was obtained by centrifugation for 10 minutes at 2000 rpm. After settling the upper layer in the test tube, 2.5 mL of heptane and 0.31 mL of HCl (0.1 M) were added. The mixture was then vigorously shaken and allowed to stand for 10 minutes, followed by another round of centrifugation for 10 minutes, resulting in two layers. To determine the neurotransmitter level, the upper layer was isolated (Saleem et al., 2022).

Quantification of the serotonin level

A mixture of 0.25 mL of O-phthaldialdehyde and 0.2 mL of the aqueous phase was prepared and then heated for 10 minutes at 100°C, during which a fluorophore was developed. The solution was then cooled, and the absorbance was recorded at 340 nm (emission wavelength) and 305 nm (excitation wavelength) (Saleem et al., 2022).

Dopamine and noradrenaline determination

For this analysis, a mixture of 0.1 mL of EDTA solution (pH 9), 0.2 mL of the aqueous phase, and 0.05 mL of 0.4 M hydrochloric acid was prepared. To continue the oxidation reaction, 0.1 mL of Na2SO3 was added. After an incubation period of 15 minutes, this mixture was heated for 5 minutes at 100°C by adding 0.1 mL of acetic acid. Finally, the mixture was cooled, and the absorbance was recorded at 450 nm for estimation of the adrenaline level and at 350 nm for estimation of the dopamine level, respectively (Saleem et al., 2022).

RT-PCR analysis

For RNA extraction, the triazole method was used. According to this method, 100 mg of brain tissues were homogenized in 1 mL of triazole reagent (Molecular Research Centre Inc., USA). RNA integrity was assessed using gel green staining and agarose gel electrophoresis and quantified using a nanodrop. Single-stranded cDNA was prepared using a cDNA synthesis kit and a PCR machine. Quantitative thermal PCR cycling was carried out under the following conditions: 95°C for 5 min, followed by 40 cycles (95°C denaturation for 15 s, 60°C annealing for 20 s), and an extension for 20 s at 72°C. The expected PCR products of reference and target genes are shown in Figure 1. GADPH was used as a housekeeping gene or internal reference. The CT method was used for relative quantification using Realplex software. To calculate ∆CT, the average CT value from triplicate measurements of the reference and target genes was used. Gene expression was analyzed using the Livak method (Saleem et al., 2020).

Figure 1. List of primers used and their sequences.

Histopathology

After sacrificing all animals by cervical dislocation, the brains of all animals in each group were separated and stored in 4% paraformaldehyde. For staining, eosin and hematoxylin dyes were used, and the prepared slides were then observed under a microscope (Saleem et al., 2020).

Statistical analysis

GraphPad Prism version 5 was used for statistical analysis. To estimate the results, all groups were compared using one-way analysis of variance (ANOVA) followed by Tukey’s post-test. Data were represented as mean ± SEM, with P values <0.05, <0.01, and <0.001 considered statistically significant.

Results

Phytochemical characterization of RMLE by HPLC/ESI-MS analysis

HPLC-MS/MS analysis of the RMLE revealed the presence of twelve phytochemicals in negative ion mode and two compounds in positive ion mode, as shown in Table 1 and Figure 2.

Table 1. Tentative identification of compounds in Rosa moschata leaf extracts by LC/ESI-MS analysis in positive and negative ionization modes.

No. Retention time (min) Compound Molecular weight Negative ionization mode (m/z) [M-H]- Positive ionization mode (m/z) [M+H]+/[M+Na]+ Chemical class
1 6.02 Quercetin-O-hexouronide 478 477 - Flavonoid-O-hexouronide
2 6.28 Kampferol-O-galloyl hexoside 600 599 - Galloylated flavonoid-O-glycoside
3 6.39 Quercetin-O-pentoside 434 433 - Flavonoid-O-glycoside
4 6.46 Kaempferol-O-hexoside 448 447 - Flavonoid-O-glycoside
5 7.29 Quercetin-O-hexoside-
O-malonyl hexoside
712 711 - Flavonoid-O-glycoside
6 7.57 Quercetin-O-hexoside-
O-malonyl hexoside isomer
712 711 - Flavonoid-O-glycoside
7 7.67 Kaempferol-O-deoxyhexoside -O-hexoside* 594 593 - Flavonoid-O-glycoside
8 7.79 Kampferol-O-deoxyhexoside-
O-hexoside *
594 593 - Flavonoid-O-glycoside
9 7.88 Kaempferol 3-(p-coumaroyl) hexoside* 594 593 - Flavonoid-O-glycoside
10 8.89 Ophiopogonanone A 328 327 - Homoisoflavonoid
11 9.33 Kaempferol-O-deoxyhexoside 432 - 455 [M+Na]+ Flavonoid-O-glycoside
12 9.79 Apigenin-C-pentoside 504 503 - Flavonoid-C-glycoside
13 12.36 Caffeoyl hexose deoxy hexoside 488 487 - Phenolic acid glycoside
14* 12.96 Piptocarphin B 436 - 437 [M+H]+ Sesquiterpenoid

*The position of sugars in these compounds may be interchangeable.

Figure 2. LC chromatograms of Rosa moschata leaf extract analyzed in positive (A) and negative (B) ionization modes.

Acute oral toxicity study

Behavioral observations

The group of rats given RMLE treatment showed minor behavioral changes: fur elevation and rapid respiration were observed for 30 minutes, after which the animals returned to normal. However, somatomotor activity was slightly higher in the treated group compared to the control group. Other behavioral parameters remained completely normal, with a typical increase in body weight observed in both the treated and control groups (Table 2).

Table 2. Effects of RMLE treatment on physical and behavioral parameters.

Parameters Findings
Skin and fur Healthy
Eyes Healthy or normal
Salivation Usual or healthy
Urination Normal
Mucus membrane Healthy
Itching Not observed
Feces consistency Normal
Sleep Normal
Coma Not found
Gait Normal
Convulsion and tremor Not found
Mortality Not found
Somatomotor activity Slightly increased
Respiration Increased

Effects of RMLE on hematological and biochemical parameters

The RMLE treatment group showed a significant elevation (P < 0.001) in white blood cell count compared to the control group. Animals in the treatment group displayed a lipid profile comparable to that of the healthy animals in the control group (Table 4). Levels of AST, bilirubin, ALT, creatinine, and urea were comparable between the treatment and healthy control groups, whereas alkaline phosphatase was higher in the treatment group compared to the healthy control group (Table 5).

Table 3. Biochemical and hematological parameters after RMLE treatment.

Variables Unit Healthy (control group) RMLE treatment
Lymphocytes g/dL 83.66 ± 2.79 93.55 ± 1.11*
Monocytes % 1.66 ± 0.36 1.89 ± 0.24*
Red blood cells ×1012/L 6.33 ± 0.21 6.12 ± 0.41*
Platelets ×109/L 577 ± 8.89 659 ± 10.2*
Mean corpuscular volume fL 61.92 ± 2.14 54.7 ± 1.01*
Neutrophils % 8.99 ± 2.05 3.56 ± 1.96*
Hemoglobin g/dL 14.18 ± 0.22 12.09 ± 0.31*

Findings are expressed as mean ± SEM for each group, *P<0.05 versus healthy animals (control group).

Table 4. Lipid profile after RME treatment in an acute toxicity study.

Variables Units Control Treatment
Triglycerides mg/dL 109.2 ± 0.76 107 ± 0.4ns
Cholesterol mg/dL 124 ± 2.12 122 ± 1.39ns
LDL mg/dL 112 ± 1.48 108 ± 0.79ns
HDL mg/dL 39.7 ± 1.52 37 ± 1.34ns

Findings are expressed as mean ± SEM for each group, ns P > 0.05 versus healthy animals (control group).

Table 5. Kidney and liver function tests in an acute toxicity study of RMLE.

Variables Unit Healthy (control) RME treatment
ALT μ/L 24.22 ± 1.56 22 ± 0.34ns
AST μ/L 28.56 ± 1.66 30.44 ± 1.09ns
Bilirubin mg/dL 0.67 ± 0.2 0.66 ± 0.01ns
Alkaline Phosphate μ/L 176 ± 1.52 234 ± 3.46**
Blood urea mg/dL 42 ± 1.48 32 ± 1.45ns
Serum creatinine mg/dL 0.75 ± 0.01 0.67± 0.05ns
Globulin g /dL 2.43 ± 0.15 2.76 ± 0.12ns

Findings are expressed as mean ± SEM for each group, **P<0.01 and ns P > 0.05 with reference to the control group.

Histopathological examination of vital organs of the acute toxicity study

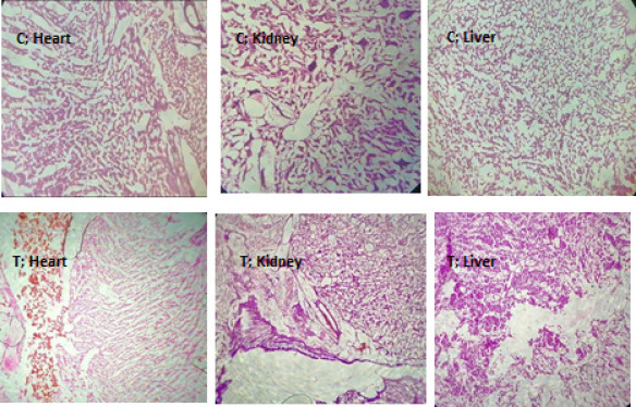
Histopathological examination revealed that RMLE treatment at 2000 mg/kg did not produce any lethal or toxic effects on the histology of the heart, liver, and kidneys. The vital organs exhibited normal architecture, similar to that of the control group (Figure 3). These findings indicate that the LD50 of the extract is greater than 2000 mg/kg.

Figure 3. Histopathology analysis of vital organs. (C) Healthy control animals; (T) animals treated with R. moschata leaf extract (RMLE) at 2000 mg/kg.

Effect of RMLE on neurobehavioral parameters

Open-field test

In the open-field test, exploratory behaviors (central and peripheral explorations) and locomotor activity (number of crossings) were observed and are presented in Figure 4. Animals in the diseased group (AlCl3 + D-galactose) exhibited a marked decrease (P < 0.001) in locomotion and habituation memory compared to the normal control group. However, animals receiving the standard treatment (rivastigmine) showed a significant (P < 0.001) improvement in central and peripheral explorations as well as the number of squares crossed. Animals receiving the highest dose (200 mg/kg) of RMLE displayed a marked recovery in exploration and locomotion, while those receiving lower doses of the extract showed moderate to low dose-dependent recovery (P < 0.001).

Figure 4. Effects of R. moschata leaf extract on exploratory behavior in the open field test. Data are expressed as mean ± SEM for each group. ###P<0.001, ##P<0.01, and #P<0.05 indicate significance versus diseased group. ***P<0.001 indicates significance compared to the control group.

Y-Maze test

In this experiment, memory acquisition was assessed by spontaneous alterations in a Y-shaped maze. As shown in Figure 5, diseased animals exhibited a significant decrease (P < 0.001) in the number of triads, total arm entries, and spontaneous alternations compared to healthy and treated animals from both groups the standard and RMLE group.. In contrast, increased levels of triads, arm entries, and spontaneous alterations were observed in the other groups. The control, standard, and R. moschata-treated groups indicated a significant recovery (P<0.001) in memory acquisition.

Figure 5. Effect of R. moschata leaf extract on performance in the Y-maze test. Findings are expressed as mean ± SEM for each group. ###P<0.001, ##P<0.01, and #P<0.05 indicate significance versus diseased group. ***P<0.001 indicates significance relative to the control group.

Hole-board task

This task was performed to observe spatial learning and memory in animals. The number of head dips in the holes was significantly lowered (P < 0.001) in the diseased group, while healthy animals and treated groups (RME treatment and standard treatment) showed dose-dependent improvements (Figure 6).

Figure 6. Effects of R. moschata leaf extract on experimental rats in the hole board task. Data are expressed as mean ± SEM for each group, ###P<0.001, ##P<0.01, and #P<0.05 indicate significance versus the diseased group. ***P<0.001 indicates significance compared to the control group.

Hang test

The neuromuscular strength of the animals was estimated using a hang test. It was significantly decreased (P < 0.001) in the AD model disease group but remained intact in healthy and treated animals. The treatment groups showed improvement in maintaining the hanging time, as represented in Figure 7.

Figure 7. Effects of Rosa moschata leaf extract on experimental rats in the hang test. Data are expressed as mean ± SEM for each group. ###P < 0.001, ##P < 0.01, and #P < 0.05 indicate significance versus the diseased group; ***P < 0.001 indicates significance compared to the control group.

Effect of RMLE on oxidative stress biomarkers

Superoxide dismutase (SOD) level

In animals of the diseased group, administration of D-galactose and aluminum chloride caused a significant decrease (P < 0.001) in SOD levels. However, treatment with RMLE demonstrated a dose-dependent improvement in SOD levels (Table 6).

Table 6. Effects of RMLE on antioxidant enzyme levels.

Groups Doses (mg/kg) SOD μg/mg of protein CAT μmol/mg of protein MDA μg/mg of protein GSH μg/mg of protein GPx μg/mg of protein
Control 1 DMSO 0.059 ± 0.04 0.691 ± 0.007 3.94 ± 0.03 0.691 ± 0.006 8.93 ± 0.01
(D-galactose+AlCl3) 150 + 150 0.025 ± 0.4*** 0.537 ± 0.7*** 6.74 ± 0.01*** 0.53 ± 0.1*** 2.43 ± 0.1***
Standard 100 0.061 ± 0.4## 0.745 ± 0.07### 3.91 ± 0.03### 0.74 ± 0.06### 8.13 ± 0.006##
RME 50 0.034 ± 0.4### 0.631 ± 0.07## 4.48 ± 0.05### 0.63 ± 0.006## 3.59 ± 0.006##
100 0.039 ± 0.04# 0.684 ± 0.07### 3.98 ± 0.02## 0.68 ± 0.06### 9.23 ± 0.01##
200 0.068 ± 0.4### 0.714 ± 0.007## 3.92 ± 0.01## 0.71 ± 0.006## 9.33 ±0.01###

Data are expressed as mean ± SEM for each group, ###P<0.001, ##P<0.01, #P<0.05 versus diseased group, ***P<0.001 with reference to control group.

Catalase (CAT) level

The catalase level was significantly reduced (P < 0.001) in all animals in the diseased group, while the group that received the standard treatment (rivastigmine) showed a significant elevation (P < 0.001) in catalase levels. Animals in all other groups treated with different doses of RMLE displayed a prominent and dose-dependent increase (P < 0.001) in catalase levels, as presented in Table 6. For protein content measurement, the following equation was used.

Y=0.00007571x+0.0000476

Y=absorbance, x = Concentration of proteins (µg/mL)

Malondialdehyde (MDA) level

Compared to the control group, animals in the diseased group showed a significant rise (P < 0.001) in malondialdehyde (MDA) levels. However, the group receiving the standard treatment (rivastigmine) exhibited a significant reduction (P < 0.001) in MDA levels. Among the groups treated with different doses of RMLE, the 50 mg/kg group showed the least decrease (P < 0.001), the 100 mg/kg group displayed a moderate decrease (P < 0.001), and the 200 mg/kg group exhibited a notable reduction in MDA levels, as presented in Table 6.

Reduced glutathione level

When comparing animals in the control group to those in the diseased group, a marked reduction (P < 0.001) in glutathione levels was observed. However, animals treated with the standard drug rivastigmine showed a significant (P < 0.001) elevation in glutathione levels. Similarly, animals receiving RMLE demonstrated a dose-dependent improvement (P < 0.001) in glutathione levels, as presented in Table 6.

Glutathione peroxidase levels

Animals in the group receiving aluminum chloride plus D-galactose showed a pronounced decrease (P < 0.001) in glutathione peroxidase levels compared to the control group. The rivastigmine-treated group demonstrated a significant improvement (P < 0.001) in glutathione peroxidase levels. Similarly, animals treated with different doses of RMLE exhibited a significant and dose-dependent (P < 0.001) increase in glutathione peroxidase levels, as presented in Table 6.

Acetylcholinesterase (AChE) inhibitory activity

The level of AChE was determined using the Ellman reagent method. A significant (P < 0.001) decrease in the level of acetylcholinesterase (AChE) was observed with the highest dose of RMLE, with low doses also exhibiting a dose-dependent AChE inhibitory effect. These effects were not significant compared to the standard and control groups. However, a significantly high enzyme level was observed in the diseased group (Figure 8).

Figure 8. Effects of Rosa moschata leaf extract on brain acetylcholinesterase activity. Data are expressed as mean ± SEM for each group. ###P < 0.001, ##P < 0.01, and #P < 0.05 indicate significance versus the diseased group; ***P < 0.001 indicates significance compared to the control group.

Effect of RMLE on neurotransmitters levels

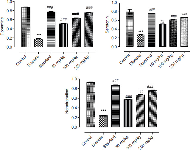
Assessment of serotonin level of brain tissue homogenates

The homogenate of the brain tissue from the diseased group demonstrated a pronounced reduction (P < 0.001) in the level of serotonin. However, animals in the treated groups that received rivastigmine showed a marked recovery in serotonin level (P < 0.001). Other treated animals receiving various doses of RMLE showed a dose-dependent recovery in the serotonin level (Figure 9).

Figure 9. Effects of Rosa moschata extract on neurotransmitter levels in experimental rats. Data are expressed as mean ± SEM for each group. ###P < 0.001, ##P < 0.01, and #P < 0.05 indicate significance versus the diseased group; ***P < 0.001 indicates significance compared to the control group.

Estimation of dopamine levels

Dopamine levels were considerably reduced (P < 0.001) in the diseased group, but treatments with RMLE and the standard drug allowed a significant recovery of the declined dopamine level (P < 0.001). The group receiving a 200 mg/kg dose of RMLE showed the maximum improvement (P < 0.001) (Figure 9).

Evaluation of the noradrenaline level of brain homogenates

The level of noradrenaline markedly decreased in the diseased group (P < 0.001), while animals receiving the standard treatment (rivastigmine) showed the maximum increase in noradrenaline levels. The group that received the highest dose of RMLE (200 mg/kg) exhibited a significant (P < 0.001) improvement. In contrast, the group receiving the lowest RMLE dose (50 mg/kg) showed the smallest yet significant increase (P < 0.001) in noradrenaline levels. The group receiving the 100 mg/kg RMLE dose exhibited a moderate recovery in noradrenaline levels (P < 0.001), as presented in Figure 9.

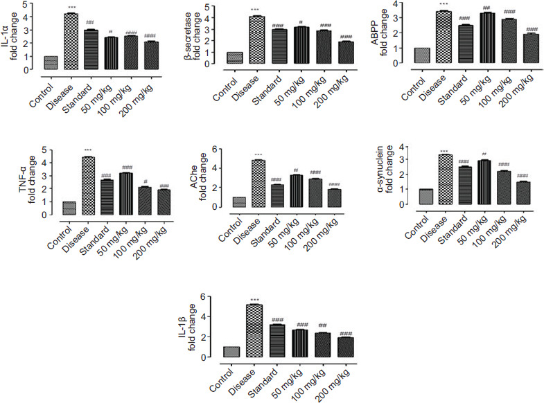
Effect of RMLE on mRNA expression of neurodegenerative biomarkers

Treatment with RMLE downregulated the increased mRNA expression of neuro-inflammatory and Alzheimer’s disease-related markers in a dose-dependent manner. The diseased animals showed significant overexpression (P<0.001) of IL-1β, IL-1α, TNF-α, ABPP, β-secretase, and AChE. RMLE treatment markedly restored these pathological biomarkers to normal levels (P<0.001), as shown in Figure 10.

Figure 10. Effects of Rosa moschata leaf extract (RMLE) on mRNA expression of neurodegenerative biomarkers. Data are presented as mean ± SEM for each group. ###P < 0.001, ##P < 0.01, and #P < 0.05 indicate significance versus the diseased group; ***P < 0.001 indicates significance compared to the control group.

Effect of RMLE on histopathological parameters

Neurodegenerative signs such as neurofibrillary tangles, amyloid plaques, necrosis, and reduced cell density were clearly evident in the diseased group, while the control group exhibited normal brain architecture. Treatment with RMLE resulted in noticeable improvement in brain histology, especially at the highest dose, as illustrated in Figure 11.

Figure 11. Effects of Rosa moschata extract on neuronal architecture. Animals treated with aluminum chloride and D-galactose exhibited neurodegenerative features, including plaque formation (P) and neurofibrillary tangles (T).

Discussion

The development of modern medicines increasingly focuses on identifying factors involved in the pathogenesis of neurodegeneration (Singh et al., 2019), as these disorders lead to the continuous loss of a significant number of neurons (Dugger et al., 2017). Neuropsychiatric Neuropsychiatric disorders are also caused by multifactorial reasons. Many researches disclosed the correlation between metabolism, diet and neuropsychiatric diseases like depression, schizophrenia and anxiety. Nutritional interventions and lifestyle modifications play a vital role in treatment and management of neuropsychiatric disorders (Vasile et al., 2024). AD, among all other neurological disorders, is growing (Chauhdary et al., 2019). The prevalence of AD is staggering. Its frequency will increase significantly as life expectancy increases. Various notable insights are emerging from ongoing research into the pathogenesis of AD. But it has been difficult to develop a coherent theory of AD pathogenesis capable of taking into account all these divergent data (Swerdlow et al., 2007). The most common condition caused by AD is dementia. Ageing itself is a potential factor in the precipitation of dementia. Dementia is one of the most financially costly diseases for the society (Haider et al., 2020). This disease particularly represents executive, language, and memory dysfunctions, although other manifestations including behavioral disturbances, agnosia, and visuospatial dysfunction, are common in the early stage. Inflated morbidity, expensive medications, troubling safety issues, modest efficacy, and deficit of treatment of AD among other CNS diseases explain the importance of investigations into phytochemical medicinal agents. Plant sources have also constituted a unique reservoir for the development of therapeutic entities such as galantamine isolated from Galanthus species (Welz et al., 2018). Herbal medicines are a rich source of flavonoids and polyphenolic compounds which exhibit strong antioxidant and neuroprotective properties by targeting multiple central signaling cascades (Shohag et al., 2022).

Many common foodstuffs contain gallic acid, which is a phenolic acid. Variety of higher plant families has wide distribution of gallic acid in both states like combined as polymers or esters or free state. These common foods are strawberry, blueberry, blackberry, mango, cashew nut, grapes, plums, wine, hazelnut and so on. This gallic acid plays neuroprotective actions in multiple models of neurotoxicity, neurodegeneration and oxidative stress (Daglia et al., 2014). Just like this, fruiting bodies of one type of mushroom named as Octavianiaia asterosperma was investigated in-vitro to check its phenolic contents to perform antimicrobial, antioxidant and antigenotoxic effects. This study showed different ratios of some types of phenols like cinnamic acid, catechin, caffeic acid, chlorogenic acid, gallic acid and some more and proves its neuroprotective effects (Sevindi et al., 2021). In the same way, curcumin (turmeric) that is commonly used in daily life has showed huge importance in herbal therapies. Many researches on curcumin revealed its anti-inflammatory, free radical scavenging effect, antioxidant and anticancer features. Following these characteristics, it has been tested and proved its neuroprotective effects in Alzheimer’s disease in both in-vitro and in-vivo studies (Sureda et al., 2023). Moreover, one more plant Scrophularia amplexicaulis was also tested by in-vitro method to determine its antioxidant properties. By chromatographic methods, from aerial parts of this plant, three iridoid glycosides were isolated. Using spectroscopic data, their structures were determined and in-vitro assay showed their antioxidant and radical scavenging assay (Hamedi et al., 2020). Some synthetic chemical compounds are assessed for their pharmacological properties. Like thiazolylhydrazonothiazoles was also assessed for anticancer activity against colon carcinoma cell line (HCT-116), breast carcinoma cell line (MDA-MB-231), liver carcinoma cell line (HepG2) and demonstrated encouraging activity. This assessment revealed potential safety for use in pharmacological use. Docking studies also showed this compound as epidermal growth factor receptor tyrosine domain (EGFR TK) protein by assessing their binding modes and scores thus endorsing their anticancer activity (Al-Humaidi et al., 2023). The mechanism of action of the tested products, as inhibitors of the epidermal growth factor receptor tyrosine kinase domain (EGFR TK) protein, was suggested through docking studies that assessed their binding scores and modes, in comparison to a reference standard (W19), thus endorsing their anticancer activity {Al-Humaidi et al., 2023).

R. moschata is traditionally used in disorders of GIT and to treat internal fever in Pakistan (Nazir et al., 2020a). This plant is rich in numerous secondary metabolites such as phenolic acids and phenolic compounds which exhibit powerful antioxidants and neuroprotective potential. The acetylcholinesterase and butrylcholinestersae inhibitory activities as well as the antioxidant properties of fruit and leaf extracts of this plant have been reported in previous studies (Nazir et al., 2020a). Therefore, this plant was selected to study its therapeutic potential against neurodegenerative disorders.

According to previous reports, aluminum chloride acts as a neurotoxin and D-galactose can model subacute ageing. Rats treated with D-galactose and aluminum chloride showed a reduction in the level of acetylcholinesterase (AChE). The formation of structures similar to neurofibrillary tangles (NFT) and senile plaques was also observed showing induction of AD (Xiao et al., 2011). D-galactose caused oxidative damage and habituation memory impairment leading to neuronal apoptosis in hippocampal tissues (Alzheimer’s & Model, 2018). D-galactose has been reported to cause oxidative stress by accumulating galactitol (produced by conversion of D-galactose) in brain cells subsequently generating an excess of oxidative stress (Han et al., 2021). Oxidative stress can also be caused due to the production of reactive oxygen species in brain and lung tissues due to certain diseases. Both enzymatic and nonenzymatic antioxidant systems are very efficacious in prevention and removal of formation of reactive oxygen species (Selamoglu-Talas et al., 2013). Additionally, a decrease in the efficaciousness of the endogenous antioxidant system also enhances oxidative stress. When the free radicals are not removed, they start accumulating and cause programmed cell death (Han et al., 2021). Evidence suggests that when aluminum chloride is administered to rats for a long time, it has the potential to be toxic. This impairs their thinking and learning abilities because it decreases cholinergic function and then the rats become lethargic. It has also been reported that AD patients have a high concentration of aluminum stored in their brain (Rebai & Djebli, 2008).

To determine the safe dose level of herbal medications, it is necessary to carry out preliminary toxicological studies. However, information on awareness of the potential toxicity of the R. moschata plant is lacking though the leaves of this plant have been reported to exhibit valuable pharmacological effects. Therefore, the OECD 425 guidelines have been adopted to determine the safe dose level of the extracts of that plant. For this purpose, an oral dose of 2000 mg/kg was administered to only one nonpregnant female rat that was initially kept for 30 min under strict observation and then every 4 h (Saleem et al., 2017). Our results from the acute toxicity study of RMLE revealed no lethal effects on vital organs. These extracts could therefore be considered as a therapeutic option to develop a novel therapeutic agent.

Our results from LC/EIS-MS analysis has revealed the presence of several polyphenolic compounds that have strong neuroprotective potential, as previously reported (Basli et al., 2012) kampferol (Sallam et al., 2021), apigenin-C-pentoside (Mekky et al., 2019), caffeoyl hexose deoxy hexoside (Pacifico et al., 2019) and piptocarphin B (Mazur et al., 2022) have demonstrated reported neuroprotective activities in in-vitro assays and in animal studies. Similarly, the present work has also authenticated the neuroprotective potential of RMLE due to the presence of these phytochemicals.

During chronic administration of D-galactose and aluminum chloride, most behavioral abnormalities were observed, such as impaired neuromuscular coordination and strength. However, RME treatment markedly restored impairments in locomotion, exploration, and cognition. The results of the open field test, the Y-maze task, the hole board, and the hanging test have revealed the strong neuroprotective potential of RMLE. The modulatory effect of RMLE on neurobehavioral parameters suggested the implementation of this plant extract for use in future drugs targeting neurodegeneration. Furthermore, it appeared that administration of aluminum chloride and D-galactose induced oxidative stress in brain tissues as evidenced by the reduction in the level of first-line antioxidant enzymes in the diseased group (Revel et al., 2015).

It is likely that the management of oxidative stress and maintenance of homeostasis was due to the level of GSH, which decreased in the diseased group and increased in all treatment groups, underlying the effectiveness of the plant extract. Likewise, SOD is also responsible for managing oxidative stress. A high level of SOD was observed after treatment with the plant extract while in diseased rats, the decreased level of SOD may be linked to the neuronal defect induced by oxidative stress (Mathew & Subramanian, 2014). The high level of MDA reflected a higher level of lipid and protein peroxidation in diseased animals; however, treatment with RMLE through modulation of oxidative stress decreased lipid and protein peroxidation, resulting in recovery of abnormally raised levels of MDA.

Oxidative stress is due to a cholinergic deficiency in animals induced by aluminum chloride and D-galactose, which disrupts memory by inhibiting the generation of acetyl and ATP, consequently decreasing choline-acetyl transferase activity and inhibiting cholinesterase activity (Altamirano-Espino et al., 2020). Cognitive disorders are associated with a loss of cholinergic neuron function (Tarbiat et al., 2020). The present study has authenticated the acetylcholinesterase inhibitory activity of RMLE. These results are similar to previously reported work, which validated the in vitro cholinesterase inhibitory activity of the RMLE (Nazir et al., 2020). In the current study, animals treated with RMLE showed a marked dose-dependent increase in cholinergic activity by increasing the level of acetylcholine, which strongly supports the anti-Alzheimer effect of RMLE.

However, a number of neurotransmitters such as serotonin, dopamine, and noradrenaline are also interlinked to the development of AD (Kandimalla et al., 2017). A significant decrease in the levels of noradrenaline, serotonin, and dopamine was observed in the diseased group, manifesting as fatigue, weight changes, aggressiveness, and depression in animals. Treatment with RME showed a marked recovery of the level of these neurotransmitters. In AD, mRNA expression of neuro-inflammatory biomarkers was overexpressed in the diseased group and returned to their normal level after treatment with RMLE. Importantly, Larson, Lesne, and co-workers have demonstrated that levels of intracellular soluble α-synuclein monomers and oligomers were significantly increased in the inferior temporal lobe of AD brains (Twohig et al., 2019). This was clear by comparing brain samples from cognitively healthy control animals, which correlated with AD-related reduced synapse expression and cognitive decline within the temporal lobe. Therefore, the presence of elevated levels of potentially toxic forms of soluble intracellular α-synuclein causes direct interactions between monomeric Aβ and oligomeric αSyn, and the frequent co-localization of αSyn with Aβ plaques and neurofibrillary tangles in regions of the brain susceptible to AD (Twohig et al., 2019).

Animals receiving aluminum chloride and D-galactose exhibited neurofibrillary tangles and plaque formation in histopathological studies of the brain. However, in all treatment groups, these pathologies improved. The overall results of this study confirmed that R. moschata extracts could improve mentation, cognitive abilities, and learning.

Conclusions

The current study is the first in vivo report of anti-Alzheimer’s activity of R. moschata leaf, thus validating the previous in vitro report. It is concluded from the current study that R. moschata leaf has significant neuroprotective potential due to its diverse phytochemical composition. RMLE significantly ameliorated both behavioral and biochemical parameters in AlCl3 and D-galactose-induced neurodegenerative AD rats through its anti-neuroinflammatory, memory-enhancing, and antioxidant potential. Based on the current pre-clinical results, it is recommended to conduct clinical trials of RMLE for its anti-neuroinflammatory and neuroprotective potential as a phytomedicine for AD and other related neurodegenerative disorders.

Data Availability

Data availability is provided on request for this journal.

Acknowledgment

The authors extend their appreciation to the King Salman Center for Disability Research for funding this work through Research Group no KSRG-2024-259. The authors would also like to thank Universitas Diponegoro, Indonesia, through its Adjunct Professor, World-Class University Program, 2025.

Authors contribution

U.S., M.A.S., and A.S.S. conceived and design the study. N.K.A., Z.C., R.S., I.A., M.J.A., J.A., N.M.M., and O.A.E. performed the experiments. F.A.J., T.A.S.B., R.H.A., T.S.A., S.F.K., S.M.A., A.L.N.A., N.M.M., R.O.K., A.E.A., and O.A.E. analyzed and interpreted the data. All authors equally contributed to writing, revising, and editing the manuscript draft.

Conflict of Interest

The authors declare no conflict of interest.

Funding

This research was funded by King Salman Center for Disability Research, Saudi Arabia through Research Group no KSRG-2024-259.

REFERENCES

Abdelghffar, E. A., El-Nashar, H. A. S., Al-Mohammadi, A. G. A., & Eldahshan, O. A. (2021). Orange fruit (Citrus sinensis) peel extract attenuates chemotherapy-induced toxicity in male rats. Food & Function, 12(19), 9443–9455. 10.1039/d1fo01905h

Al-Amin, M. M., Reza, H. M., Saadi, H. M., Mahmud, W., Ibrahim, A. A., Alam, M. M., & Quddus, A. R. (2016). Astaxanthin ameliorates aluminum chloride-induced spatial memory impairment and neuronal oxidative stress in mice. European Journal of Pharmacology, 777, 60–69. 10.1016/j.ejphar.2016.02.062

Altamirano-Espino, J. A., Sánchez-Labastida, L. A., Martínez-Archundia, M., Andrade-Jorge, E., & Trujillo-Ferrara, J. G. (2020). Acetylcholinesterase Inhibition (Potential Anti-Alzheimer Effects) by Aminobenzoic Acid Derivatives: Synthesis, in Vitro and in Silico Evaluation. Chemistry Select, 5(44), 14177–14182. 10.1002/slct.202003471

Basli, A., Soulet, S., Chaher, N., Mérillon, J.-M., Chibane, M., Monti, J.-P., & Richard, T. (2012). Wine polyphenols: potential agents in neuroprotection. Oxidative Medicine and Cellular Longevity, 2012. 10.1155/2012/805762

Bibak, B., Teymouri, M., Mohammadi, A., Haghbin, A., Pan, Y., Kasaian, J., & Alesheikh, P. (2019). Tongluojiunao, a traditional Chinese medication with neuroprotective ability: A review of the cellular, molecular and physiological mediators of TLJN’s effectiveness. Biomedicine & Pharmacotherapy, 111, 485–495. 10.1016/j.biopha.2018.12.082

Chauhdary, Z., Saleem, U., Ahmad, B., Shah, S., & Shah, M. A. (2019). Neuroprotective evaluation of Tribulus terrestris L. in aluminum chloride induced Alzheimer’s disease. Pakistan Journal of Pharmaceutical Sciences, 32.

Chitra, V., Manasa, K., & Evelyn Sharon, S. (2019). Impact of hydroalcoholic concentrate of Hemidesmus indicus against 1-methyl-4-phenyl-1, 2, 3, 6-tetrahydropyridine prompted parkinsonism in mice. Asian Journal of Pharmaceutical and Clinical Research, 337–342. 10.22159/ajpcr.2019.v12i3.30610

Cummings, J., Lee, G., Ritter, A., Sabbagh, M., & Zhong, K. (2020). Alzheimer’s disease drug development pipeline: 2020. Alzheimer’s & Dementia, 6(1), e12050. 10.1002/trc2.12050

Daglia, M., Di Lorenzo, A., F Nabavi, S., S Talas, Z., & M Nabavi, S. (2014). Polyphenols: well beyond the antioxidant capacity: gallic acid and related compounds as neuroprotective agents: you are what you eat! Current Pharmaceutical Biotechnology, 15(4), 362–372. 10.2174/138920101504140825120737

Dugger, B. N., & Dickson, D. W. (2017). Pathology of neurodegenerative diseases. Cold Spring Harbor Perspectives in Biology, 9(7), a028035. 10.1101/cshperspect.a028035

Haider, S., Liaquat, L., Ahmad, S., Batool, Z., Siddiqui, R. A., Tabassum, S., & Naz, N. (2020). Naringenin protects AlCl3/D-galactose induced neurotoxicity in rat model of AD via attenuation of acetylcholinesterase levels and inhibition of oxidative stress. PloS One, 15(1), e0227631. 10.1371/journal.pone.0227631

Hamedi, A., Zengin, G., Aktumsek, A., Selamoglu, Z., & Pasdaran, A. (2020). In vitro and in silico approach to determine neuroprotective properties of iridoid glycosides from aerial parts of Scrophularia amplexicaulis by investigating their cholinesterase inhibition and anti-oxidant activities. Biointerface Research in Applied Chemistry, 10(3), 5429–5454. 10.33263/BRIAC103.429454

Han, H., Liu, Z., Yin, J., Gao, J., He, L., Wang, C., & Li, T. (2021). D-Galactose induces chronic oxidative stress and alters gut microbiota in weaned piglets. Frontiers in Physiology, 12, 634283. 10.3389/fphys.2021.634283

Hossain, M. F., Wang, N., Chen, R., Li, S., Roy, J., Uddin, M. G., & Song, Y.-Q. (2021). Exploring the multifunctional role of melatonin in regulating autophagy and sleep to mitigate Alzheimer’s disease neuropathology. Ageing Research Reviews, 67, 101304. 10.1016/j.arr.2021.101304

Janelidze, S., Berron, D., Smith, R., Strandberg, O., Proctor, N. K., Dage, J. L., & Hansson, O. (2021). Associations of plasma phospho-Tau217 levels with tau positron emission tomography in early Alzheimer disease. JAMA Neurology, 78(2), 149–156. 10.1001/jamaneurol.2020.4201

Kamel, A.S., Abdelkader, N. F., El-Rahman S.S.A., Emara M., Zaki H.F., & Khattab M.M. (2018). Stimulation of ACE2/ANG(1-7)/Mas Axis by Diminazene Ameliorates Alzheimer’s Disease in the D-Galactose-Ovariectomized Rat Model: Role of PI3K/Akt Pathway. Molecular Neurobiology, 55, 8188–8202. 10.1007/s12035-018-0966-3

Kandimalla, R., & Reddy, P. H. (2017). Therapeutics of neurotransmitters in Alzheimer’s disease. Journal of Alzheimer’s Disease, 57(4), 1049–1069. 10.3233/JAD-161118

Khan, H., Ullah, H., Aschner, M., Cheang, W. S., & Akkol, E. K. (2019). Neuroprotective effects of quercetin in Alzheimer’s disease. Biomolecules, 10(1), 59. 10.3390/biom10010059

Koushki, D., Latifi, S., Norouzi Javidan, A., & Matin, M. (2015). Efficacy of some non-conventional herbal medications (sulforaphane, tanshinone IIA, and tetramethylpyrazine) in inducing neuroprotection in comparison with interleukin-10 after spinal cord injury: a meta-analysis. The Journal of Spinal Cord Medicine, 38(1), 13–22. 10.1179/2045772314Y.0000000215

Kovacsova, M., Barta, A., Parohova, J., Vrankova, S., & Pechanova, O. (2010). Neuroprotective mechanisms of natural polyphenolic compounds. Activitas Nervosa Superior Rediviva, 52(3), 181–186.

Kumar, A., & Singh, A. (2015). A review on Alzheimer’s disease pathophysiology and its management: an update. Pharmacological Reports, 67(2), 195–203. 10.1016/j.pharep.2014.09.004

Leng, F., & Edison, P. (2021). Neuroinflammation and microglial activation in Alzheimer disease: where do we go from here? Nature Reviews Neurology, 17(3), 157–172. 10.1038/s41582-020-00435-y

Li, S., & Pu, X.-P. (2011). Neuroprotective effect of kaempferol against a 1-methyl-4-phenyl-1, 2, 3, 6-tetrahydropyridine-induced mouse model of Parkinson’s disease. Biological and Pharmaceutical Bulletin, 34(8), 1291–1296. 10.1248/bpb.34.1291

Mathew, M., & Subramanian, S. (2014). In vitro evaluation of anti-Alzheimer effects of dry ginger (Zingiber officinale Roscoe) extract. Indian Journal of Experimental Biology, 52(6):606–612

Mazur, M., & Masłowiec, D. (2022). Antimicrobial Activity of Lactones. Antibiotics, 11(10), 1327.

McGirr, S., Venegas, C., & Swaminathan, A. (2020). Alzheimers disease: A brief review. Journal of Experimental Neurology, 1(3), 89–98.

Mekky, R. H., Abdel-Sattar, E., Segura-Carretero, A., & Contreras, M. d. M. (2019). Phenolic compounds from sesame cake and antioxidant activity: a new insight for agri-food residues’ significance for sustainable development. Foods, 8(10), 432. 10.3390/foods8100432

Mielech, A., Puścion-Jakubik, A., Markiewicz-Żukowska, R., & Socha, K. (2020). Vitamins in Alzheimer’s disease—Review of the latest reports. Nutrients, 12(11), 3458. 10.3390/nu12113458

Naz, I., Masoud, M. S., Chauhdary, Z., Shah, M. A., & Panichayupakaranant, P. (2022). Anti-inflammatory potential of berberine-rich extract via modulation of inflammation biomarkers. Journal of Food Biochemistry, e14389. 10.1111/jfbc.14389

Nazir, N., Khalil, A. A. K., Nisar, M., Zahoor, M., & Ahmad, S. (2020a). HPLC-UV characterization, anticholinesterase, and free radical-scavenging activities of Rosa moschata Herrm. leaves and fruits methanolic extracts. Brazilian Journal of Botany, 43, 523–530.

Nebel, R. A., Aggarwal, N. T., Barnes, L. L., Gallagher, A., Goldstein, J. M., Kantarci, K., & Yu, W. H. (2018). Understanding the impact of sex and gender in Alzheimer’s disease: a call to action. Alzheimer’s & Dementia, 14(9), 1171–1183. 10.1016/j.jalz.2018.04.008

Pacifico, S., Piccolella, S., Nocera, P., Tranquillo, E., Dal Poggetto, F., & Catauro, M. (2019). New insights into phenol and polyphenol composition of Stevia rebaudiana leaves. Journal of Pharmaceutical and Biomedical Analysis, 163, 45–57.

Parambi, D. G. T., Saleem, U., Shah, M. A., Anwar, F., Ahmad, B., Manzar, A., & Kim, H. (2020). Exploring the therapeutic potentials of highly selective oxygenated chalcone based MAO-B inhibitors in a haloperidol-induced murine model of Parkinson’s disease. Neurochemical Research, 45(11), 2786–2799. 10.1007/s11064-020-03130-y

Rebai, O., & Djebli, N. E. (2008). Chronic exposure to aluminum chloride in mice: exploratory behaviors and spatial learning. Advances in Biological Research, 2(1–2), 26–33.

Revel, F., Gilbert, T., Roche, S., Drai, J., Blond, E., Ecochard, R., & Bonnefoy, M. (2015). Influence of oxidative stress biomarkers on cognitive decline. Journal of Alzheimer’s Disease, 45(2), 553–560. 10.3233/JAD-141797

Saleem, U., Akhtar, R., Anwar, F., Shah, M. A., Chaudary, Z., Ayaz, M., & Ahmad, B. (2021). Neuroprotective potential of Malva neglecta is mediated via down-regulation of cholinesterase and modulation of oxidative stress markers. Metabolic Brain Disease, 36(5), 889–900. 10.1007/s11011-021-00683-x

Saleem, U., Amin, S., Ahmad, B., Azeem, H., Anwar, F., & Mary, S. (2017). Acute oral toxicity evaluation of aqueous ethanolic extract of Saccharum munja Roxb. roots in albino mice as per OECD 425 TG. Toxicology Reports, 4, 580–585. 10.1016/j.toxrep.2017.10.005

Saleem, U., Chauhdary, Z., Islam, S., Zafar, A., Khayat, R. O., Althobaiti, N. A., & Shah, M. A. (2022). Sarcococca saligna ameliorated D-galactose induced neurodegeneration through repression of neurodegenerative and oxidative stress biomarkers. Metabolic Brain Disease, 1–18. 10.1007/s11011-022-01046-w

Saleem, U., Chauhdary, Z., Raza, Z., Shah, S., Rahman, M.-u., Zaib, P., & Ahmad, B. (2020). Anti-Parkinson’s Activity of Tribulus terrestris via Modulation of AChE, α-Synuclein, TNF-α, and IL-1β. ACS Omega, 5(39), 25216–25227. 10.1021/acsomega.0c03375

Saleem, U., Raza, Z., Anwar, F., Ahmad, B., Hira, S., & Ali, T. (2019). Experimental and Computational Studies to Characterize and Evaluate the Therapeutic Effect of Albizia lebbeck (L.) Seeds in Alzheimer’s Disease. Medicina, 55(5), 184. 10.3390/medicina55050184

Sallam, A., Mira, A., Sabry, M. A., Abdel-Halim, O. B., Gedara, S. R., & Galala, A. A. (2021). New prenylated flavonoid and neuroprotective compounds from Tephrosia purpurea subsp. dunensis. Natural Product Research, 35(24), 5612–5620. 10.1080/14786419.2020.1815739

Selamoglu-Talas, Z., Ozdemir, I., Ciftci, O., & Cakir, O. (2013). Propolis attenuates oxidative injury in brain and lung of nitric oxide synthase inhibited rats. Journal of Pharmaceutical Care, 45–50.

Sengoku, R. (2020). Aging and Alzheimer’s disease pathology. Neuropathology, 40(1), 22–29. 10.1111/neup.12626

Sevindik, M., Akgul, H., Selamoglu, Z., & Braidy, N. (2021). Antioxidant, antimicrobial and neuroprotective effects of Octaviania asterosperma in vitro. Mycology, 12(2), 128–138. 10.1080/21501203.2020.1816584

Shah, M.A., Muhammad, H., Mehmood, Y., Khalil, R., Ul-Haq, Z. and Panichayupakaranant, P., 2017. Superoxide scavenging and antiglycation activity of rhinacanthins-rich extract obtained from the leaves of Rhinacanthus nasutus. Pharmacognosy Magazine, 13(52), 652. 10.4103/pm.pm_196_17

Shah, M.A., Reanmongkol, W., Radenahmad, N., Khalil, R., Ul-Haq, Z. and Panichayupakaranant, P., 2019. Anti-hyperglycemic and anti-hyperlipidemic effects of rhinacanthins-rich extract from Rhinacanthus nasutus leaves in nicotinamide-streptozotocin induced diabetic rats. Biomedicine & Pharmacotherapy, 113, 108702. 10.1016/j.biopha.2019.108702

Shah, M.A., Abuzar, S.M., Ilyas, K., Qadees, I., Bilal, M., Yousaf, R., Kassim, R.M.T., Rasul, A., Saleem, U., Alves, M.S. and Khan, H., 2023. Ginsenosides in cancer: Targeting cell cycle arrest and apoptosis. Chemico-biological interactions, 382, 110634. 10.1016/j.cbi.2023.110634

Shohag, S., Akhter, S., Islam, S., Sarker, T., Sifat, M. K., Rahman, M., & Sharma, R. (2022). Perspectives on the molecular mediators of oxidative stress and antioxidant strategies in the context of neuroprotection and neurolongevity: an extensive review. Oxidative Medicine and Cellular Longevity, 2022. 7743705. 10.1155/2022/7743705

Sims-Robinson, C., Kim, B., Rosko, A., & Feldman, E. L. (2010). How does diabetes accelerate Alzheimer disease pathology? Nature Reviews Neurology, 6(10), 551–559. 10.1038/nrneurol.2010.130

Singh, A., Kukreti, R., Saso, L., & Kukreti, S. (2019). Oxidative stress: a key modulator in neurodegenerative diseases. Molecules, 24(8), 1583. 10.3390/molecules24081583

Sureda, A., Tejada, S., Khan, U. M., & Selamoglu, Z. (2023). An overview of the biological function of curcumin in the processes of oxidative stress, inflammation, nervous system, and lipid levels. Central Asian Journal of Medical and Pharmaceutical Sciences Innovation, 3(1), 1–11.

Swerdlow, R. H. (2007). Pathogenesis of Alzheimer’s disease. Clinical Interventions in Aging, 2(3), 347.

Tarbiat, S., Türütoğlu, A. S., & Ekingen, M. (2020). Acetylcholinesterase Inhibitory Potential and Antioxidant Activities of Five Cultivars of Rosa damascena Mill. From Isparta, Turkey. Current Topics in Nutraceutical Research, 18(4), 354–359.

Tönnies, E., & Trushina, E. (2017). Oxidative stress, synaptic dysfunction, and Alzheimer’s disease. Journal of Alzheimer’s Disease, 57(4), 1105–1121. 10.3233/JAD-161088

Twohig, D., & Nielsen, H. M. (2019). α-Synuclein in the pathophysiology of Alzheimer’s disease. Molecular Neurodegeneration, 14(1), 1–19. 10.1186/s13024-019-0320-x

Vasile, A., Ciobîcă, A., Kamal, F. Z., Mavroudis, I., Plăvan, G., Selamoglu, Z., & Csabai, J. (2024). Latest developments on the connections between diet and most of the neuropsychiatric disorders. Bulletin of Integrative Psychiatry, (2).

Welz, A. N., Emberger-Klein, A., & Menrad, K. (2018). Why people use herbal medicine: insights from a focus-group study in Germany. BMC Complementary and Alternative Medicine, 18(1), 1–9. 10.1186/s12906-018-2160-6

Xiao, F., Li, X.-G., Zhang, X.-Y., Hou, J.-D., Lin, L.-F., Gao, Q., & Luo, H.-M. (2011). Combined administration of D-galactose and aluminium induces Alzheimerlike lesions in brain. Neuroscience Bulletin, 27(3), 143–155. 10.1007/s12264-011-1028-2

Yi, J. H., Whitcomb, D. J., Park, S. J., Martinez-Perez, C., Barbati, S. A., Mitchell, S. J., & Cho, K. (2020). M1 muscarinic acetylcholine receptor dysfunction in moderate Alzheimer’s disease pathology. Brain Communications, 2(2), fcaa058. 10.1093/braincomms/fcaa058

Yiannopoulou, K. G., & Papageorgiou, S. G. (2020). Current and future treatments in Alzheimer disease: an update. Journal of Central Nervous System Disease, 12, 1179573520907397. 10.1177/1179573520907397

Zhao, B. (2009). Natural antioxidants protect neurons in Alzheimer’s disease and Parkinson’s disease. Neurochemical Research, 34, 630–638. 10.1007/s11064-008-9900-9