Department of Food Science and Nutrition, College of Sciences, Taif University, Taif, Saudi Arabia
In this work, the impacts of Cucumis melo rind powder (CMRP), Red prickly pear (RPP), and Cider apple pomace (CAP) were evaluated in terms of profiling of bioactive compounds. It could be concluded that the addition of different concentrations of RPP, CMRP, and CAP improved the quality criteria and significantly (P ≤ 0.05) increased the values of total phenolic compound (TPC), antioxidant activity, and fiber content of beef burger during frozen storage. The antioxidant effects of RPP, CMRP, and CAP to retard protein and lipid oxidation were investigated in beef burgers during frozen storage at −18 ± 2°C for 6 months. Powders of RPP rind, CMRP, and CAP were incorporated into freshly minced beef at different concentrations (RPP: 1, 2, and 3%; CMRP: 2, 3, and 4%; and CAP: 2, 4, and 5%) and compared with the control sample. Chemical compositions of the prepared beef burgers, total volatile nitrogen (TVN), thiobarbituric acid (TBA) reactive substances, TPC, and antioxidant activity (DPPH) were determined. Results indicated that powders showed high phenolic content and antioxidant activity, especially RPP. The addition of different concentrations of RPP, CMRP, and CAP caused high storage stability and reduced values of TBA and TVN in prepared beef burgers during frozen storage compared to the control sample. Enrichment of red meat with CMRP, RPP, and CAP has improved hygienic and safety properties than unfortified products without leading to changes like rapid spoilage and consequent reduction in shelf life.
Key words: apple pomace, Cucumis melo powder, lipid oxidation, meat, natural antioxidants, phenolic, Red prickly pear rind
*Corresponding Author: Garsa Alshehry, Department of Food and Nutrition, College of Sciences, Taif University, Taif 21944, Saudi Arabia. Email: [email protected]
Academic Editor: Prof. Anna Lante - University of Padova, Italy
Received: 10 April 2025; Accepted: 2 June 2025; Published: 1 October 2025
© 2025 Codon Publications
This is an Open Access article distributed under the terms of the Creative Commons Attribution-NonCommercial-ShareAlike 4.0 International (CC BY-NC-SA 4.0). License (http://creativecommons.org/licenses/by-nc-sa/4.0/)
In recent years, growing concerns over the potential health risks associated with synthetic antioxidants, such as butylated hydroxyanisole (BHA), butylated hydroxytoluene (BHT), propyl gallate, and butyl hydroquinone, have led to an increasing interest in natural alternatives. These synthetic compounds have been linked to liver toxicity and carcinogenic effects, prompting a shift toward plant-derived antioxidants that offer both safety and nutritional benefits. These natural compounds, primarily polyphenols, can interrupt free radical chain reactions and act as nutraceuticals, providing both functional and protective roles in the human diet (Shan et al., 2005; Shobana and Naidu, 2000). Plant-based antioxidants are widely regarded as more effective and safer than synthetic alternatives. One of the main challenges in food preservation is lipid oxidation, which negatively impacts food quality, especially during processing and storage. Phenolic compounds found in fruits, vegetables, grains, legumes, tea, wine, and herbal extracts have strong antioxidant capacity and are common in the human diet (El-Alim et al., 1999; Okwu et al., 2019). Numerous studies have confirmed that extracts from medicinal and culinary plants exhibit high in vitro antioxidant activity (Al Jumayi et al., 2022;
Katalinic et al., 2006; Li et al., 2008; Oktay et al., 2003). The antioxidative effects of these extracts are largely due to their phenolic content, which has been recognized for centuries in traditional food preservation. Beyond their antioxidant properties, aromatic herbs and spices possess antimicrobial capabilities and are valuable in the food, cosmetic, and pharmaceutical sectors. These plants inhibit microbial growth, retard oxidative processes, and enhance food properties such as flavor, color, texture, and shelf life. In recent decades, various plant extracts have gained attention for their dual roles as natural antioxidants and antimicrobials, with activity comparable to synthetic compounds such as α-tocopherol and BHT (El Sheikha and Allam, 2022; Gómez et al., 2018; Izzreen and Noriham, 2011; Krishnaiah et al., 2011; Schwab et al., 2008). The demand for minimally processed, shelf-stable, and health-oriented food products continues to rise. Consumers increasingly seek high-quality, ready-to-eat foods that maintain a fresh and natural appearance while being safe for consumption. Meat, a cornerstone of the human diet, offers high nutritional value and has played a critical role in human evolution and health (Floros et al., 2010; Mariamenatu and Abdu, 2021; El Sheikha et al., 2022; Vlaicu et al., 2022). However, meat is highly perishable and susceptible to microbial contamination and oxidative degradation, even under refrigerated conditions (Elhelaly et al., 2022; Karrar et al., 2022; Marmion et al., 2021; Singh et al., 2019). The deterioration of meat products is largely driven by protein and lipid oxidation, particularly due to the presence of unsaturated fatty acids in phospholipids and triglycerides. These oxidative processes lead to undesirable changes in flavor, texture, appearance, and nutritional quality (Amaral et al., 2018; Domínguez et al., 2019; Pateiro et al., 2019; Shivakumar et al., 2023; Sultana et al., 2022). Therefore, evaluating the compositional and functional properties of natural plant-based compounds as additives is essential in developing cleaner-label meat products with extended shelf life.
This study aims to explore the efficacy of polyphenol-rich plant extracts as natural antioxidants and antimicrobials for meat preservation. By mitigating oxidative deterioration and microbial growth, these compounds enhance food safety, extend product shelf life, and contribute to the prevention of oxygen-related diseases, ultimately leading to better-quality, health-promoting meat products (Figure 1: Graphic abstracts).
Figure 1. Bioactive compounds, antioxidant, and antimicrobial activity of some fruit and vegetable peel enriched as a functional food in meat technology during frozen storage.
Canary yellow melon fruits (Cucumis melo L.) were purchased from a local market in Egypt. The melons were immediately peeled, and the seeds were carefully separated by hand from the pulp, cleaned, and washed off any adhering residue. Then, the seeds were dried at 40°C for 24 h. Dried seeds were ground to a fine powder in a grinding mill (Moulinex, France) to obtain melon seed flour and frozen overnight at −20°C and lyophilized at ambient temperature. The maximum particle size of melon seed flour was 500 μm. It was stored and preserved in airtight bags at −20°C until use.
Red prickly pear (RPP) fruits were purchased from local markets of Shebin El-Kom, Egypt. After cleaning and peeling them, the edible parts were properly separated, and the peels were ground to a fine powder (XX μm), air dried at 50°C for 48 h, stored in polyethylene bags, and kept at −18°C until analysis.
Cider apple pomace (CAP) was collected after juice extraction from Kaha Company (Kaha City, Kaliobia, Egypt). The peels were finely chopped, washed using tap water, loaded onto stainless trays, and dried at 50°C for 24 h in a convective oven. The dried peels were ground to a fine powder, packaged in polyethylene bags, and stored at −18°C until use.
Red prickly pear (RPP), CAP, and cucumber melon rind (CMR) powders (g) were extracted with 50 mL of 95% ethanol in an orbital shaker maintained at 25°C for 36 h. Subsequently, the sample extract was filtered using Whatman No. 1 filter paper, evaporated under vacuum to dryness, and the residue was extracted once using the same technique. The combined extracts were kept dark at −20°C for further analysis.
The determination of total phenolic content (TPC) was carried out using the Folin–Ciocalteu reagent method (Ozsoy et al., 2008). An aliquot of 0.5 mL of Folin’s reagent was added to 0.5 mL of all extracts. The mixtures were stirred and incubated for 3 min in the dark and 10 mL of Na2CO3 solution (75 g/L) was added. The mixtures were shaken and incubated for 1 h in the dark, and absorbance was measured at 750 nm. Total polyphenols content was specified concerning a standard curve established with gallic acid. The results were expressed as mg of gallic acid equivalents per 100 g extract (mg GAE/100 g extract). The TPC value is the average of three measurements.
The total flavonoid content (TFC) was measured according to the aluminum chloride colorimetric method described by Sakanaka et al. (2005). A 0.5 mL diluted melon peel extract solution was placed in a 10 mL volumetric flask. Distilled water was added to make an even volume of 5 mL, followed by 0.3 mL NaNO2 (1:20). 3 mL AlCl3 (1:10) was added 5 min later. After 6 min, 2 mL of NaOH (4%) was added, and the total volume was made up to 10 mL using distilled water. The mixture was incubated at 25°C for 30 min. The solution was mixed well, and the absorbance was measured against a blank at 510 nm using a spectrophotometer (Schoot instrument, UV line 9400, EU). Quercetin was used to prepare the calibration curve. The findings of TFC were expressed as mg QE/100 g extract (mg of sample quercetin equivalents per 100 g extract). All measurements were collected in three measurements.
Thirty-three commercial standards were utilized for identifying and quantifying phenolic components in the peels of C. melo rind, RPP, and CAP powders. Standards of gallic acid, p-hydroxyphenyl acid, m-coumaric acid, p-coumaric acid, 4-hydroxybenzoic acid, 3-hydroxybenzoic acid, cinnamic acid, caffeic acid, vanillic acid, syringic acid, ferulic acid, vanillic acid, chlorogenic acid, protocatechuic acid, cinnamic acid, rotameric acid, catechol, phenyl acetate, pinoresinol, resorcinol, 2,4-D pestanal, naringenin, and flavone were acquired from Sigma-Aldrich (St. Louis, MO, USA). Catechin hydrate, catechin acetate, oleuropein, hydroxytyrosol, rutin, tyrosol, verbascoside, luteolin, luteolin-7-glucoside, and apigenin-7-glucoside standards were purchased from Extrasynthèse (Genay, France).
Fresh minced beef and beef back fat were procured from a local market in Shebin El-Kom, Egypt, in two separate batches (3 kg each) and transported to the Meat Products Laboratory in a portable cooler maintained at 4 ± 2°C within 30 min. Upon arrival, visible fat and connective tissue were trimmed. The meat was then cut into chunks and stored at −18°C until use. All spices—including nutmeg, clove, black pepper, celery, thyme, rosemary, and white pepper—were freshly ground before use, sieved through a 60-mesh screen (0.25 mm), and were sourced locally. The burger formulation consisted of 85% lean beef (containing less than 7% fat), 15% beef back fat, and 0.022% seasoning blend (containing nutmeg 1.37%, black pepper 22.73%, clove 5.46%, and salt 63.64%). Sodium tripolyphosphate (SCAP) was added at 6.82% of the total seasoning mix. All ingredients were thoroughly mixed in a stainless-steel bowl for 5 min to ensure uniform distribution. Experimental groups were established by incorporating the following levels of powdered fruit or vegetable peels into the mixture:
Red Pomegranate Peel: 1, 2, and 3%
Carrot–Mint Residue Powder: 2, 3, and 4%
Cantaloupe Peel Powder: 2, 4, and 5%
After peel addition, the mixtures were blended again and passed through a grinder fitted with an 8 mm perforated plate. Burger patties were manually prepared using a hand-press burger maker, with each patty standardized to 50 ± 2 g in weight and 9 cm in diameter. Each sample was individually placed on a polyethylene-wrapped food-grade tray under aerobic conditions and frozen at −18 ± 2°C. Storage lasted for 6 months, with monthly analysis intervals.
Before analysis, burger samples were thawed at 4°C for 12 h. Cooking was performed on a preheated electric griddle at 180 ± 5°C for 4 min on each side (total cooking time: 8 min) until an internal core temperature of 72 ± 1°C was achieved, as measured using a calibrated probe thermometer. All samples were mobilized in an aerobic environment on a food tray enclosed with a sealed polyethylene membrane, frozen at −18± 2°C for 6 months, and then analyzed monthly during storage.
Moisture, ash, protein, fat, and fiber content were determined according to AOAC (2005), while carbohydrate content was estimated by the difference. The determination of nitrogen content was performed for each sample.
In a Cyclo-Mixer, 15 g of raw beef burger samples were mixed in 100 mL of distilled water measured using a test tube for 2 min (CM Model 3000 USA). The pH values of the samples were measured using a digital pH meter (Model 3510, Jenway Technology, Italy). The pH meter electrode was calibrated with the help of two buffer solutions of pH 4 and 7. All values were calculated as the average of three replicates ± standard deviation (SD).
The lipid oxidation of all burger samples was determined using distillation of 2-thiobarbituric acid (TBA) according to Tarladgis et al. (1960) and expressed as milligram malonaldehyde per gram of sample.
The total volatile nitrogen (TVN) content of different beef burger samples was determined using the method by Harold (1987).
Two grams of beef burger sample was extracted by 25 mL of 50% ethanol, shaken for 2 h and centrifuged at 3000 rpm for 20 min. TPC was calculated in the ethanolic extracts according to the Folin–Ciocalteu method with slight modifications. A 100 μL aliquot of ethanolic extract was mixed with 900 μL of 10-fold Folin–Ciocalteu phenol reagent (diluted in the ratio 1:10 with distilled water) and was allowed to stand for 5 min at room temperature. 0.75 μL of 7% sodium bicarbonate solution was added to the mixture and vortexed for 30 s and was allowed to stand for 90 min at room temperature. The absorbance was measured at 725 nm using a spectrophotometer (Schoot instrument, UV line 9400, EU). A calibration curve of gallic acid (ranging from 0 to 1.00 mg/mL) was prepared and tested under similar conditions. All values were expressed as mean (mg of gallic acid equivalents/100 g of fresh weight) ± SD for three replications.
According to Pulido et al. (2000) with some modifications, the DPPH radical test was performed to measure the free radical scavenging activity.
In this method, 60 μmol/L DPPH solution was freshly made in 99% ethanol. The extract of the burger product (100 μL) was reacted with 3.9 mL of the DPPH solution for 60 min in the dark. The absorbance (A) at 515 nm was measured using a spectrophotometer (SCHOOT instrument, UV line 9400, EU) against a blank of 95% ethanol. The antioxidant activity was calculated as follows using Equation 1.
Where AC (o)517 is the absorbance of the control at t = 0 min, and AA (t)517 is the absorbance of the antioxidant at t = 1 h. The radical scavenging activity of DPPH was formed as a sample μ mol of Trolox equivalent (TE) g from a standard curve obtained with Trolox. All determinations were assessed in triplicate.
The microbiological impact of different concentrations of powder peel extracts (Cucumis melo rind powder, red prickly pear, and cider apple pomace) on microbial growth inhibition during frozen storage was evaluated in this study. Various levels of powder extracts were tested for their effects on the growth of coliform bacteria, total bacterial count (TBC), and mold and yeast populations in beef burgers. The results were recorded as colony-forming units per gram (log CFU/g).
Sample Preparation: Freshly minced beef meat was mixed with different concentrations of each powder peel extract: 1%, 2%, and 3% for red prickly pear (RPP); 2%, 3%, and 4% for Cucumis melo rind powder (CMRP); and 2%, 4%, and 5% for cider apple pomace (CAP). A control sample without any added extract was also prepared. Each mixture was homogenized to ensure even distribution of the powders and then formed into individual burger patties.
Storage Conditions: The prepared beef burgers were stored in a freezer at -18 ± 2°C. Microbiological analyses were conducted at specific intervals—0, 1, 3, and 6 months of storage—to monitor changes in microbial populations over time.
Coliform Bacteria: Coliform group bacteria were evaluated using the most probable number (MPN) technique on selective media, as coliforms serve as indicators of hygiene and potential contamination.
Total Bacterial Count (TBC): The TBC was measured using plate count agar, following incubation at 35°C for 48 hours. Samples were serially diluted in saline solution, plated, and counts were recorded as log CFU/g.
Mold and Yeast Count: The mold and yeast populations were measured using Sabouraud dextrose agar, incubated at 25°C for 5–7 days. These counts assessed the antimicrobial effectiveness of the powders in preventing fungal growth, which is critical in frozen storage.
Microbial counts (log CFU/g) were analyzed using ANOVA, with significance set at p ≤ 0.05 to determine the effectiveness of each powder extract and concentration on microbial inhibition. Pairwise comparisons were made between treatments and the control to identify statistically significant differences.
This methodology enabled the determination of the most effective powder extract and concentration for inhibiting microbial growth, thus enhancing the microbial safety and shelf life of beef burgers during prolonged frozen storage.
In this study, sensory analysis was conducted to evaluate the impact of different concentrations of powder extracts (Cucumis melo rind powder, red prickly pear, and cider apple pomace) on the sensory qualities of beef burgers during frozen storage. The sensory assessment focused on attributes such as appearance, color, flavor, texture, and overall acceptability. This analysis was carried out by a trained sensory panel at designated storage intervals (0, 1, 3, and 6 months) to monitor potential changes in quality over time.
Sample Preparation: Beef burger samples were prepared by incorporating different concentrations of each powder peel extract: 1%, 2%, and 3% for red prickly pear (RPP); 2%, 3%, and 4% for Cucumis melo rind powder (CMRP); and 2%, 4%, and 5% for cider apple pomace (CAP). A control sample with no added powder extract was also prepared. All samples were homogenized, shaped into patties, and stored at -18 ± 2°C until the sensory evaluation was conducted.
Sensory Panel: A panel of 10 trained evaluators, familiar with sensory evaluation of meat products, was selected for the assessment. Panelists were trained to distinguish subtle variations in texture, flavor, and appearance related to the powder extract additions. Evaluations were conducted under standardized conditions, with individual tasting booths, controlled lighting, and a neutral background to minimize external influence on sensory perception.
Appearance and Color: Panelists assessed the visual appeal of each sample, particularly noting color stability, which can be influenced by antioxidant activity in the extracts.
Flavor and Aroma: Panelists evaluated flavor and aroma attributes, taking note of any off-flavors or enhancements due to the natural extracts.
Texture: Texture was assessed for tenderness, juiciness, and cohesiveness. Samples were thawed and cooked prior to evaluation to ensure accurate texture representation.
Overall Acceptability: Each sample was rated for overall acceptance, considering all sensory attributes together.
A structured 9-point hedonic scale was used for each attribute, where 1 indicated “dislike extremely” and 9 indicated “like extremely’. Scores for each attribute were averaged, with statistical analysis (ANOVA) performed to identify significant differences between samples (p ≤ 0.05). Sensory data were analyzed using ANOVA to determine the effects of extract type and concentration on sensory characteristics over the storage period. The significance level was set at p ≤ 0.05, with post-hoc tests conducted for pairwise comparisons between sample groups and the control. Through this sensory evaluation, the study aimed to identify the optimal extract and concentration that maintained desirable sensory qualities over frozen storage, while also enhancing the shelf life and overall consumer acceptance of beef burgers.
All experimental data were represented as mean ± SD. Data from various tests were examined separately and compared using one-way analysis of variance (ANOVA), accompanied by the Duncan’s test using SPSS software (version 16.0 for Windows, SPSS Inc., Chicago) to identify the significance (P < 0.05) among the treatment (Artimage and Berry, 1987; Kowalczewski and Andreani, 2015) protocols with minor adjustments. The significance of differences between the means was compared using Fisher’s test (P ≤ 0.05), and the data was displayed as mean ± SD.
Table 1 shows the chemical composition of fruits peel powders. All components differed significantly among the studied peel powders. CAP had the highest value of moisture and ash contents followd by CMRP and RPP. Regarding protein content, CAP showed a value of 19.66% compared to RPP and CMRP. CAP had the highest fat content followed by CMRP and RPP. Furthermore, CAP can be considered a good source of fiber, while CMRP and RPP showed lower values (12.25 and 11.96%, respectively). Regarding carbohydrates, RPP had the highest value, followed by CMRP and CAP. All fruit peels had an acidic pH, and CMRP and CAP had the highest pH values of 4.66 and 4.57, respectively, while RPP had a value of 3.54. RPP was found to be a good source of TPC and TFC. These results agree with that reported by Borujeni et al. (2022), Ibrahim (2016), and Llavata et al. (2022).
Table 1. Chemical composition of Red prickly pear, Cucumis melo rind powder, and cider apple pomace raw powders.
| Parameter | CMRP | RPP | CAP | |
|---|---|---|---|---|
| Chemical compositiona | Moisture content (%) | 7.62 ± 0.110b | 6.11 ± 0.130c | 11.09 ± 0.12a |
| Ash content (%) | 5.67 ± 0.13a | 4.24 ± 0.14c | 7.11 ± 0.21a | |
| Protein content (%) | 7.68 ± 0.26b | 6.15 ± 0.35c | 19.66 ± 0.33a | |
| Fat content (%) | 6.24 ± 0.20b | 3.83 ± 0.31c | 11.52 ± 0.32a | |
| Fiber content (%) | 12.25 ± 0.29b | 11.96 ± 0.22c | 32.27 ± 0.25a | |
| Carbohydrate content (%)b | 73.88 ± 0.36b | 80.23 ± 0.62a | 51.77 ± 0.78c | |
| Antioxidant activity | TPC (mg/gm DW)c | 62.18 ± 0.31b | 267.84 ± 0.46a | 13.51 ± 0.15c |
| TFC (mg QE/100 g)d | 95.46 ± 0.175b | 115.33 ± 0.128a | 84.33 ± 0.201c | |
| DPPH % (AOA) | 17.25 ± 0.42b | 92.14 ± 0.51a | 8.38 ± 0.35c | |
| pH value | 4.66 ± 0.13a | 3.54 ± 0.22c | 4.57 ± 0.14b | |
CAP, Cider apple pomace; CMRP, Cucumis melo rind powder; DPPH, antioxidant activity assayed by diphenyl picrylhydrazyl free radical; RPP, Red prickly pear; TPC, Total phenolic compound.
The sample weight of powders was 15 mg.
a% of dry matter basis; bTotal carbohydrate obtained by difference; cmg GAE/100 g extract; dmg QE/100 g extract. Means with a different letter in the same row indicate significant differences between the raw powders (P ≤ 0.05).
Phenolic compounds present in CMRP, RPP, and CAP are reported in Table 2. Results enabled the identification of 24 compounds. RPP contained significantly higher amounts of all phenolic compounds than other samples except for coumarin, salicylic, cinnamic, and e-vanillic, which were higher in CMRP. These results agree with that reported by Arraibi et al. (2021), García-Cayuela et al. (2019), Kharrat et al. (2018), Reis et al. (2012), and Suárez et al. (2010).
Table 2. Characterization and contents (ppm) of phenolic compound extracts from the tested powders.
| Phenolic compounds | The tested powders | ||
|---|---|---|---|
| RPP | CMRP | CAP | |
| Gallic | 1120.45 | 19.77 | 11.84 |
| Pyrogallol | 22,668.48 | 312.25 | 128.42 |
| Protocatechuic | 1412.43 | 124.89 | 17.78 |
| 4-Amino-benzoic | 5339.59 | 14.54 | 4.31 |
| Chlorogenic | 175.84 | 12.53 | 15.55 |
| Catechein | 1258.42 | 73.14 | 57.45 |
| Epi-catachin | 1458.46 | 91.78 | 29.25 |
| Catechol | 636.04 | 82.55 | 9.39 |
| P-OH-benzoic | 258.89 | 43.69 | 29.87 |
| Caffeine | 102.27 | 51.89 | 5.05 |
| Vanillic | 284.72 | 39.41 | 18.59 |
| Caffeic | 78.65 | 79.11 | 3.59 |
| Ferulic | 33.48 | 22.25 | 4.12 |
| Iso-ferulic | 287.25 | 21.14 | 19.04 |
| P-coumaric | 141.91 | 58.45 | 3.86 |
| Ellagic | 223.75 | 131.87 | 32.17 |
| Reversetrol | 17.09 | 15.98 | 3.25 |
| Alpha-coumaric | 51.34 | 16.41 | 3.78 |
| e-vanillic | 539.65 | 1399.75 | 247.18 |
| Benzoic | 254.57 | 211.79 | 87.03 |
| Coumarin | 11.14 | 19.58 | 2.08 |
| 3,4,5-methoxy-cinnamic | 25.57 | 33.45 | 1.25 |
| Salycilic | 33.42 | 1456.81 | 25.37 |
| Cinnamic | 3.99 | 11.97 | 3.21 |
CAP, Cider apple pomace; CMRP, Cucumis melo rind powder; RPP, Red prickly pear; TPC, total phenolic compound (TPC).
Results of the proximate chemical composition of different beef burger samples prepared by the addition of CMRP (2, 3, and 4%), RPP (1, 2, and 3%), and CAP are given in Table 3.
Table 3. Proximate chemical composition of prepared beef burgers treated with various levels of Cucumis melo rind powder, Red prickly pear, and Cider apple pomace during frozen storage at –18 ± 2°C.
| Beef burger samples | Moisture (%) | Fat content (%) | Protein content (%) | Fiber content (%) | Ash content (%) | Carbohydrate content (%) |
|---|---|---|---|---|---|---|
| Control | 61.25 ± 0.36a | 22.39 ± 0.95a | 56.93 ± 0.71b | 1.89 ± 0.14h | 3.83 ± 0.15g | 20.46 ± 0.28b |
| CMRP−2% | 60.71 ± 0.20b | 20.88 ± 0.15d | 56.62 ± 0.15c | 2.91 ± 0.21f | 5.75 ± 0.55e | 19.34 ± 0.14d |
| CMRP−3% | 59.77 ± 0.22c | 18.79 ± 0.15e | 56.34 ± 0.10d | 3.51 ± 0.51e | 5.97 ± 0.60d | 18.81 ± 0.09e |
| CMRP−4% | 58.53 ± 0.30e | 20.75 ± 0.05e | 55.99 ± 0.36e | 5.42 ± 0.90c | 6.22 ± 0.60c | 17.23 ± 0.48f |
| RPP−1% | 60.99 ± 0.31a | 20.84 ± 0.10de | 56.52 ± 0.20cd | 2.31 ± 0.70g | 4.82 ± 0.25f | 20.89 ± 0.17a |
| RPP−2% | 59.98 ± 0.15c | 20.75 ± 0.50e | 56.36 ± 0.11d | 2.81 ± 0.20f | 5.72 ± 0.80e | 19.81 ± 0.15c |
| RPP−3% | 59.14 ± 0.51d | 20.62 ± 0.30f | 55.97 ± 0.60e | 2.77 ± 0.70f | 6.27 ± 0.40bc | 19.61 ± 0.41cd |
| CAP−2% | 59.98 ± 0.15c | 20.98 ± 0.11c | 56.98 ± 0.80b | 5.22 ± 0.11d | 6.36 ± 0.35b | 15.89 ± 0.25g |
| CAP−4% | 58.91 ± 0.57d | 20.97 ± 0.25c | 57.12 ± 0.90ab | 6.77 ± 0.77b | 6.48 ± 0.35a | 14.11 ± 0.45h |
| CAP−5% | 58.15 ± 0.50f | 21.13 ± 0.58b | 57.25 ± 0.40a | 7.62 ± 0.89a | 6.52 ± 0.75a | 12.89 ± 0.11i |
CAP, Cider apple pomace; CMRP, Cucumis melo rind powder; RPP, Red prickly pear.
Control sample: beef burgers prepared without addition.
Means with a different letters in the same row indicate significant differences between the raw powders (P ≤ 0.05).
A significant (P ≤ 0.05) decrease in moisture content was observed in the beef burgers with increased incorporation of CMRP, RPP, and CAP, which may be attributed to a lower moisture content of these powders compared to the control sample. Similar results were also obtained in the studies by Clarkson (2013) and Hurst et al. (2018), who observed a decline in the moisture content of prepared pork luncheon rolls with the addition of cider apple pulp powder. Similar reductions in moisture content were also noted by Verma et al. (2013) in fried sheep meat nuggets that contained RPP and CAP powders (Ali et al., 2020; Alizadeh-Sani et al., 2020; Nawaz and Shafique, 2022; Pérez-Alvarez et al., 2019). A significant (P ≤ 0.05) decline in fat content was observed in beef burgers prepared by the addition of CMRP, RPP, and CAP compared to the control sample. This decrease in fat content may be due to the comparatively lower fat content of these powders than beef. Similar findings were reported by Ali et al. (2020) and Nawaz and Shafique (2022), who reported a decrease in the fat content of psyllium husk-added patties and attributed it to the fat-replacing and fat-substitution properties of soluble dietary fiber. This is in conjugation with the studies by Ali et al. (2020) and Pérez-Chabela and Hernández-Alcántara (2018), who observed a decrease in the fat content of sheep meat nuggets incorporated with RPP and CAP powder. Additionally, Majumder and Annegowda (2021) and Zinina et al. (2019) observed a decrease in the fat content in chicken nuggets with the addition of RPP and CAP powder. On the other hand, the protein content of the beef burgers prepared decreased significantly (P ≤ 0.05) at all levels of incorporation of RPP and CMRP compared to the control sample. This may be attributed to the dilution effect caused by the incorporation of these powders, which is particularly low in protein content in comparison to the control. Similar findings were reported by Ganji et al. (2019), Lyu et al. (2020), Mallek-Ayadi et al. (2017), Msaddak et al. (2015) and Palmeri et al. (2018). They reported a decrease in the protein content of chicken nuggets containing RPP, CAP, and CMRP. Additionally, these results were in agreement with that of the findings by Chappalwar et al. (2020) and Sharma and Yadav (2020), who demonstrated a decrease in the protein content of chicken patties incorporated with pomegranate by-products powder and mango peel powder. The protein content incorporated with CAP, however, showed a nonsignificant (P ≥ 0.05) increase with an increasing level of incorporation in comparison to the control, which might be attributed to the high protein content of CAP as shown in Table 1 compared to other powders. These results agree with the study findings of Lyu et al. (2020) and Verma et al. (2010), who reported a slight increase in the protein content of low-fat pork sausages and bologna sausages prepared with cider apple powder and lemon albedo. The ash percentage increased with the addition of RPP compared to CMRP and CAP. It was significantly (P ≤ 0.05) higher at the 4 and 5% levels of incorporation with CAP in comparison to the control. This may be attributed to the higher mineral or ash content of these powders compared to beef meat. A significant increase (P ≤ 0.05) was observed in fiber content in beef burgers with increased levels of incorporation of CMRP, RPP, as well as cider apple powder, which may be attributed to the higher fiber content in these powders as shown in Table 1. The increasing fiber content could constitute an additional nutritional benefit for consumers and permits the reduction of the rate of meat incorporation. The high level of fiber in the diet can be useful in decreasing the cholesterol level in humans. The studies by Bender (2009) and Farrell (1998) also reported similar findings in French sausages, corned beef, chicken loaf, mortadella, and different meat products incorporated with cider apple peel.
The total phenolic compound levels (TPC) in the control formula and treated beef burger samples are listed in Table 4. Results showed that the addition of CMRP (2, 3, and 4%), RPP (1, 2, and 3%), and CAP (2, 4, and 5%) significantly increased (P ≤ 0.05 ) the TPC values in beef burger mixtures. The control formula contained 50.18 mg/100 g of meat sample. The samples treated with these powders had higher TPC levels ranging between 152.16 ± 0.60 and 162.29 ± 0.60 mg/100 g of meat sample. The TPC was highest in samples treated with RPP (3.92 ± 0.19, 122.24 ± 0.66, and 162.29 ± 0.60 mg/100 g), followed by those treated with CMRP (92.32 ± 0.35, 122.73 ± 0.95, and 152.16 ± 0.60 mg/100 g. The samples treated with CAP had the lowest TPC values (62.86 ± 0.50, 63.85 ± 0.47, and 92.17 ± 0.89 mg/100 g).
Table 4. Impact of some agriculture waste as natural antioxidants on phenolic components changes on prepared beef burgers during frozen storage at −18 ± 2°C for 6 months.
| Beef burger samples | Frozen storage period (months) | ||||||
|---|---|---|---|---|---|---|---|
| 0 | 1 | 2 | 3 | 4 | 5 | 6 | |
| Control | 50.18 ± 0.55h | 49.35 ± 0.96h | 46.69 ± 0.75j | 41.41 ± 0.66i | 34.84 ± 0.61i | 29.40 ± 0.35h | 23.29 ± 0.35j |
| CMRP2% | 92.32 ± 0.35e | 76.42 ± 0.94d | 69.56 ± 0.10f | 68.48 ± 0.35e | 59.37 ± 0.68e | 54.74 ± 0.61e | 46.69 ± 0.42e |
| CMRP3% | 122.73 ± 0.95c | 94.74 ± 0.78c | 85.91 ± 0.68d | 79.72 ± 0.65d | 75.25 ± 0.68c | 68.67 ± 0.44c | 63.56 ± 0.44c |
| CMRP4% | 152.16 ± 0.60b | 106.12 ± 0.897b | 95.65 ± 0.61b | 92.29 ± 0.35b | 77.64 ± 0.35b | 71.84 ± 0.65b | 67.87 ± 0.35b |
| RPP1% | 93.92 ± 0.19d | 65.73 ± 0.61f | 63.43 ± 0.94g | 60.82 ± 0.51g | 49.19 ± 0.67f | 43.97 ± 0.91f | 41.89 ± 0.57f |
| RPP2% | 122.24 ± 0.66c | 94.32 ± 0.71c | 94.07 ± 0.30c | 85.08 ± 0.68c | 69.14 ± 0.75d | 63.29 ± 0.61d | 60.84 ± 0.61d |
| RPP3% | 162.29 ± 0.60a | 130.02 ± 0.87a | 120.94 ± 0.30a | 114.33 ± 0.86a | 99.90 ± 0.51a | 91.87 ± 0.42a | 89.57 ± 0.53a |
| CAP2% | 62.86 ± 0.50g | 62.01 ± 0.71g | 60.79 ± 0.61i | 57.18 ± 0.60h | 47.08 ± 0.38gh | 40.39 ± 0.30g | 31.73 ± 0.29i |
| CAP4% | 63.85 ± 0.47f | 62.37 ± 0.30g | 61.26 ± 0.51h | 57.49 ± 0.35h | 46.80 ± 0.60h | 41.30 ± 0.61g | 34.78 ± 0.26h |
| CAP5% | 92.17 ± 0.89e | 72.75 ± 0.41e | 70.64 ± 0.53e | 63.87 ± 0.53f | 48.10 ± 0.89g | 44.36 ± 0.61f | 39.05 ± 0.29g |
CAP, Cider apple pomace; CMRP, Cucumis melo rind powder; RPP, Red prickly pear.
Control sample: beef burgers prepared without addition.
Means with different letters in the same row indicate significant differences between the raw powders (P ≤ 0.05).
This may be attributed to the higher levels of TPC in RPP and CMRP compared to CAP, as shown in Table 1. Moreover, the levels of TPC were proportional to the additional levels of RPP rind, CMRP, and CAP in beef burgers. For instance, the additional level of TPC in 2% CMRP was 92.32 ± 0.35 mg/100 g, which increased gradually to the highest level with 4% CMRP (152.16 ± 0.60 mg/100 g). The beef burger mixture containing 3% RPP (162.29 ± 0.60) had higher level of TPC at 4% concentration. The additional level of TPC in 3% RPP was 162.29 ± 0.60 mg/100 g. From Table 1, it could be observed that TPC increased in all samples at the time of frozen storage, but decreased in low-rate compounds with the control sample from 50.18 ± 0.55 to 23.29 ± 0.35 mg/100 g at the end of the storage period. The samples treated with 3% RPP decreased from 162.29 ± 0.60 to 89.57 ± 0.53 mg/100 g at the end of the storage period. These results are consistent with that reported for cookies fortified with RPP and CMRP compared to CAP powder (Gómez-García et al., 2020; Lyu et al., 2020; Mahloko et al., 2019; Parafati et al., 2020).
The data presented in Table 5 shows the changes in the antioxidant activity of beef burgers during the 6 months of frozen storage. These results revealed that when compared to the control sample, all treatments showed a significant increase in antioxidant activity (DPPH).
Table 5. Impact of some agriculture waste as natural antioxidants on antioxidant activity (DPPH %) on prepared beef burgers during frozen storage at −18 ± 2°C for 6 months.
| Beef burger samples | Frozen storage period (months) | ||||||
|---|---|---|---|---|---|---|---|
| 0 | 1 | 2 | 3 | 4 | 5 | 6 | |
| Control | 25.82 ± 0.15i | 21.39 ± 0.96g | 18.48 ± 0.12g | 18.21 ± 0.35f | 17.27 ± 0.96f | 15.85 ± 0.25h | 14.83 ± 0.15h |
| CMRP2% | 32.31 ± 0.60f | 26.31 ± 0.55e | 24.13 ± 0.55e | 22.90 ± 0.14d | 21.98 ± 0.35d | 20.56 ± 0.55e | 19.54 ± 0.55e |
| CMRP3% | 35.13 ± 0.18e | 30.16 ± 0.59c | 26.33 ± 0.55d | 25.34 ± 0.55c | 23.73 ± 0.35c | 22.60 ± 0.51d | 22.20 ± 0.25d |
| CMRP4% | 39.11 ± 0.65d | 30.95 ± 0.30c | 27.28 ± 0.14d | 25.83 ± 0.25c | 24.70 ± 0.25c | 23.90 ± 0.15c | 23.00 ± 0.15c |
| RPP1% | 48.34 ± 0.69c | 30.56 ± 0.35c | 29.67 ± 0.28c | 25.68 ± 0.48c | 24.12 ± 0.94c | 23.39 ± 0.65c | 22.83 ± 0.55c |
| RPP2% | 57.80 ± 0.55b | 40.01 ± 0.15b | 39.74 ± 0.89b | 37.86 ± 0.14b | 32.63 ± 0.68b | 31.84 ± 0.11b | 30.99 ± 0.17b |
| RPP3% | 80.90 ± 0.25a | 56.45 ± 0.50a | 54.34 ± 0.61a | 52.62 ± 0.55a | 45.56 ± 0.55a | 44.66 ± 0.35a | 44.37 ± 0.55a |
| CAP2% | 29.62 ± 0.65h | 24.62 ± 0.11f | 21.87 ± 0.55f | 21.44 ± 0.37e | 20.16 ± 0.11e | 19.03 ± 0.11g | 18.06 ± 0.25g |
| CAP4% | 30.53 ± 0.25g | 26.03 ± 0.17e | 21.51 ± 0.18f | 21.20 ± 0.18e | 20.39 ± 0.55e | 19.65 ± 0.17f | 18.91 ± 0.25f |
| CAP5% | 31.54 ± 0.94f | 28.53 ± 0.55d | 26.86 ± 0.45d | 22.42 ± 0.45d | 20.27 ± 0.34e | 19.82 ± 0.34f | 19.54 ± 0.55e |
CAP, Cider apple pomace; CMRP, Cucumis melo rind powder; RPP, Red prickly pear.
Control sample: beef burgers prepared without addition.
Means with different letters in the same row indicate significant differences between the raw powders (P ≤ 0.05).
The antioxidant activity increased proportionately due to the gradient increase in the proportions of all additional powders. High levels of antioxidant activity were observed in RPP and CMRP (80.90 ± 0.25). These results were related to the composition of the raw powders with high levels of antioxidant activity, as shown in Table 1. On the other hand, 2% CAP exhibited lower antioxidant activities (29.62 ± 0.65). The TPC and antioxidant activity gradually decreased in all treatments, with the lowest levels observed at 6 months. The decrease in TPC may be attributed to the decomposition of phenolic compounds during the storage time. However, some treatments still had a high level of antioxidant activity at 6 months, such as RPP 3% (44.37 ± 0.55). These values of antioxidant scavenging activities indicate that CMRP, RPP, and CAP could effectively retard the oxidative process in beef products. The antioxidant properties of phenolic compounds were well documented, and there was a significant relationship between phenolic content and antioxidant activity. Thus, the high level of antioxidant activity in beef burgers containing CMRP, RPP, and CAP powders was attributed to the high levels of phenolic compounds in these powders. The present results were consistent with those reported by Ali et al. (2022), Dilmaçünal and Kuleaşan (2018), Ibrahim and El-Masry (2016), López-Fernández et al. (2022), Mallek-Ayadi et al. (2017), Parafati et al. (2019, 2021) and Pollini et al. (2022).
As indicators of the oxidation of the lipid content of meat products, the TBA (mg of malonaldehyde/kg sample) and TVN values are shown in Tables 6 and 7, respectively.
Table 6. Impact of some agricultural waste as natural antioxidants on thiobarbituric acid values (mg MDA/kg meat) on prepared beef burgers during frozen storage at −18 ± 2°C for 6 months.
| Beef burger samples | Frozen storage period (months) | ||||||
|---|---|---|---|---|---|---|---|
| 0 | 1 | 2 | 3 | 4 | 5 | 6 | |
| Control | 0.208 ± 0.18a | 0.474 ± 0.27a | 0.666 ± 0.29a | 0.857 ± 0.25a | 0.994 ± 0.33a | 1.012 ± 0.11a | 1.854 ± 0.35a |
| CMRP2% | 0.168 ± 0.14b | 0.342 ± 0.33d | 0.428 ± 0.41d | 0.556 ± 0.21e | 0.701 ± 0.15d | 0.837 ± 0.45d | 0.975 ± 0.25d |
| CMRP3% | 0.121 ± 0.14d | 0.295 ± 0.58ef | 0.385 ± 0.24e | 0.510 ± 0.29f | 0.677 ± 0.18e | 0.779 ± 0.25e | 0.868 ± 0.14e |
| CMRP4% | 0.105 ± 0.14e | 0.276 ± 0.51f | 0.346 ± 0.64f | 0.467 ± 0.25g | 0.537 ± 0.18h | 0.654 ± 0.25g | 0.747 ± 0.13fg |
| RPP1% | 0.148 ± 0.14c | 0.307 ± 0.21e | 0.432 ± 0.53d | 0.537 ± 0.18e | 0.546 ± 0.18g | 0.720 ± 0.14f | 0.759 ± 0.53f |
| RPP2% | 0.125 ± 0.18d | 0.256 ± 0.87g | 0.393 ± 0.43e | 0.506 ± 0.25f | 0.580 ± 0.11f | 0.627 ± 0.21h | 0.742 ± 0.21g |
| RPP3% | 0.074 ± 0.14f | 0.357 ± 0.27cd | 0.373 ± 0.58e | 0.439 ± 0.21h | 0.537 ± 0.18h | 0.564 ± 0.24i | 0.662 ± 0.33h |
| CAP2% | 0.207 ± 0.14a | 0.365 ± 0.88c | 0.463 ± 0.21c | 0.744 ± 0.29c | 0.849 ± 0.18b | 0.995 ± 0.28b | 1.157 ± 0.32b |
| CAP4% | 0.179 ± 0.18b | 0.346 ± 0.54cd | 0.482 ± 0.28c | 0.712 ± 0.14d | 0.775 ± 0.11c | 0.883 ± 0.25c | 0.913 ± 0.25c |
| CAP5% | 0.168 ± 0.14b | 0.404 ± 0.25b | 0.545 ± 0.25b | 0.810 ± 0.18b | 0.771 ± 0.13c | 0.880 ± 0.18c | 0.985 ± 0.19c |
Cucumis melo Rind Powder (CMRP); Red prickly pear (RPP); Cider apple pomace (CAP).
CAP, Cider apple pomace; CMRP, Cucumis melo rind powder; RPP, Red prickly pear.
Control sample: beef burgers prepared without addition.
Means with different letters in the same row indicate significant differences between the raw powders (P ≤ 0.05).
Table 7. Impact of some agriculture waste as natural antioxidants on the total volatile nitrogen on prepared beef burgers during frozen storage at −18 ± 2°C for 6 months.
| Beef burger samples | Frozen storage period (months) | ||||||
|---|---|---|---|---|---|---|---|
| 0 | 1 | 2 | 3 | 4 | 5 | 6 | |
| Control | 8.75 ± 0.71a | 14.25 ± 0.65a | 17.59 ± 0.14a | 18.29 ± 0.28a | 18.29 ± 0.22b | 22.20 ± 0.27a | 24.29 ± 0.42a |
| CMRP-2% | 8.95 ± 0.14cd | 12.29 ± 0.15cd | 14.25 ± 0.42ef | 16.06 ± 0.20cd | 18.99 ± 0.14a | 20.10 ± 0.14c | 20.52 ± 0.28cd |
| CMRP-3% | 8.81 ± 0.14cd | 12.16 ± 0.45cd | 13.69 ± 0.14f | 15.64 ± 0.14de | 17.45 ± 0.27c | 18.15 ± 0.42d | 19.96 ± 0.25d |
| CMRP-4% | 8.25 ± 0.560de | 11.60 ± 0.56de | 12.57 ± 0.14g | 15.08 ± 0.14ef | 16.75 ± 0.42d | 17.18 ± 0.27e | 18.15 ± 0.70e |
| RPP-1% | 8.95 ± 0.14cd | 12.29 ± 0.15cd | 13.41 ± 0.14f | 15.64 ± 0.14de | 17.87 ± 0.14bc | 18.57 ± 0.28d | 19.69 ± 0.55d |
| RPP-2% | 8.25 ± 0.56de | 11.60 ± 0.56de | 12.29 ± 0.13gh | 14.94 ± 0.25f | 15.76 ± 0.69d | 17.45 ± 0.15e | 18.29 ± 0.80e |
| RPP-3% | 7.97 ± 0.56e | 11.32 ± 0.56e | 12.02 ± 0.14h | 12.99 ± 0.56g | 14.25 ± 0.69e | 14.67 ± 0.45f | 15.50 ± 0.83f |
| CAP-2% | 8.92 ± 0.25b | 13.27 ± 0.28b | 16.48 ± 0.14b | 17.04 ± 0.65b | 19.13 ± 0.28a | 21.08 ± 0.56b | 22.20 ± 0.27b |
| CAP-4% | 9.37 ± 0.28bc | 12.71 ± 0.28bc | 15.64 ± 0.14c | 16.62 ± 0.28bc | 18.99 ± 0.14a | 20.10 ± 0.13c | 21.36 ± 0.28bc |
| CAP-5% | 9.09 ± 0.28c | 12.43 ± 0.75c | 14.80 ± 0.15d | 16.34 ± 0.28c | 17.59 ± 0.14c | 18.15 ± 0.14d | 19.69 ± 0.50d |
CAP, Cider apple pomace; CMRP, Cucumis melo rind powder; RPP, Red prickly pear.
Control sample: beef burgers prepared without addition.
Means with different letters in the same row indicate significant differences between the raw powders (P ≤ 0.05).
The positive effect of the addition of CMRP, RPP, and CAP as natural antioxidants was observed with significant variations (P ≤ 0.05) in TBA values of beef burger samples were prepared with CMRP (2, 3 and 4%), RPP (1, 2, and 3%), and CAP (2, 4 and 5%) compared with the control. The lipid oxidation inhibition effect was the highest in the case of RPP and CMRP, especially at concentrations 3 and 4% at all storage times.
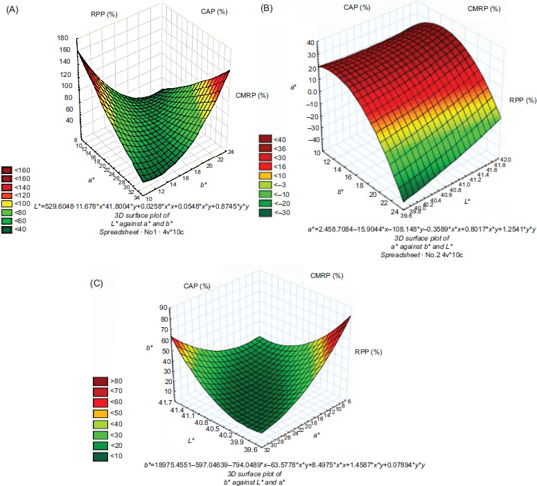
The TBA values significantly (P ≤ 0.05) increased in the control sample as the time of storage period increased. On the other hand, the increase in TBA values in treated samples was slow and remained lower than that of the control sample until end of the storage period. Several phenolic components in the powder extract may be attributed to its strong antioxidant ability (Asem et al., 2020; Nam et al., 2019; Shan et al., 2005). Several investigations reported that the addition of RPP peel powder as a natural antioxidant had a positive effect as shown by the significant differences in the TBA values of prepared beef sausage samples (Embaby et al., 2016; Manessis et al., 2020; Nastasi et al., 2022; Noumo et al., 2016; Selim et al., 2022; Yu et al., 2015). These results could be correlated to the phenolic compounds in RPP peel powder. Our findings are in agreement with the previous studies (Ali et al., 2022; El-Ajnaf, 2009; Embaby et al., 2016; Manessis et al., 2020; Massini et al., 2016), which found that CMRP, CAP, and RPP peel powders enhanced the storage stability of chicken patties and meat products, especially at frozen and refrigerated storage, by reducing the rate of biodegradation, peroxidation, and lipid oxidation expressed as TBA values of the prepared samples. The changes in TVN levels are commonly applied as a measure of protein decomposition by microorganisms and protein breakdown by tissue proteolytic enzymes during storage. The data presented in Table 7 suggest that the TVN concentration of different beef burger samples increased gradually and significantly (P ≤ 0.05) during storage. The results also revealed that the control sample had the highest TVN content in every period of storage; with 8.75 ± 0.71 mg TVN/100 g of sample at the beginning of the storage period, which increased to 24.35 ± 0.42 mg TVN/100 g of sample after 6 months. The increased TVN during cold storage of prepared beef burgers might be attributed to the breakdown of nitrogenous substances by microbial activity. On the other hand, the corresponding TVN value for differently prepared beef burger samples containing different concentrations of RPP, CMRP, and CAP had lower TVN content at all storage times; the TVN values of 3% RPP at the initial stage of the storage period and after 6 months of storage were 7.97 ± 0.56 and 15.50 ± 0.83 mg/100 g, respectively. These results indicated the significant (P ≤ 0.05) effects of the addition CMRP, RPP powder, and CAP on the inhibition of microbial growth, especially proteolytic microorganisms that cause protein breakdown, resulting in volatile nitrogen compounds. These results are in agreement with the study findings of Awad et al. (2022), Blinstrubiene and Burbulis (2022), Crook (2003), Ghinea and Leahu (2022), Lyu et al. (2020), and Tarasevičienė et al. (2022). All values of color parameters in the CMRP, RPP, and CAP differed significantly (Figures 1A–c). The RPP was brighter, and its L* value was higher than that of CAP and CMRP. The main pomace color difference was observed in the a* and b* coordinate values. The RPP was more red in color than the CAP and CMRP, and the a* values were 32.67, 10.24, and 8.33 NBS units, respectively. The b* values were 12.93, 17.68, and 21.52 NBS units (Figure 2A–2C).
Figure 2. (A, B, and C): Impact of some agriculture waste as natural antioxidants on color characteristics: L* coordinate values (a), a* (b), and b* (c) during frozen storage at −18 ± 2°C for 6 months.
The data in Table 8 indicated that the microbial load, that is, the coliform group bacteria, total bacterial count (TBC), and mold and yeast count (log cfu/g) were significantly decreased (P ≤ 0.05) for beef burger samples prepared with CMRP (2, 3, and 4%), RPP (1, 2, and 3%), and CAP (2, 4, and 5%) compared to the control sample during storage at −18°C for 6 months.
Table 8. Changes in the microbiological quality of raw and cooked beef burgers supplemented with Cucumis melo rind powder, Red prickly pear powder, and Cider apple pomace powder during frozen storage at −18 ± 2°C for 6 months.
| Treatments | Burger samples | Storage time (months) | Total bacterial count (log cfu/g) | Yeast and mold count (log cfu/g) | Total coliform (log cfu/g) |
|---|---|---|---|---|---|
| Control | Raw | 0 | 2:55 ± 0.25bA | NF | NF* |
| 6 | 4.88 ± 0.21aA | 3.11 ± 0.21A | NF | ||
| Cooked | 0 | 0.48 ± 0.11bA | NF | NF | |
| 6 | 1.04 ± 0.10aA | 1.41 ± 0.110A | NF | ||
| CMRP-2% | Raw | 0 | 1.55 ± 0.13bB | NF | NF |
| 6 | 4.33 ± 0.18aB | 2.45 ± 0.18B | NF | ||
| Cooked | 0 | 0.33 ± 0.16bA | NF | NF | |
| 6 | 1.41 ± 0.19aB | 0.82 ± 0.21B | NF | ||
| CMRP-3% | Raw | 0 | 1.97 ± 0.18bB | NF | NF |
| 6 | 4.11 ± 0.21aC | 2.28 ± 0.16C | NF | ||
| Cooked | 0 | 0.33 ± 0.12bB | NF | NF | |
| 6 | 1.04 ± 0.02aB | 0.45 ± 0.49D | NF | ||
| CMRP-4% | Raw | 0 | 1.67 ± 0.11bBC | NF | |
| 6 | 2.99 ± 0:11aD | 2.25 ± 0.15C | NF | ||
| Cooked | 0 | 0.51 ± 0.18bB | NF | ||
| 6 | 0.88 ± 0.20aC | 0.25 ± 0.52E | NF | ||
| RPP-1% | Raw | 0 | 1.66 ± 0.21bC | NF | |
| 6 | 2.48 ± 0 .18aE | 0.00 ± 0.00E | NF | ||
| Cooked | 0 | 0.53 ± 0.55bBC | NF | ||
| 6 | 0.81 ± 0.39aCD | 0.00 ± 0.00F | NF | ||
| RPP-2% | Raw | 0 | 1.69 ± 0.21aBC | NF | |
| 6 | 1.61 ± 0.21aF | 0.24 ± 0.21B | NF | ||
| Cooked | 0 | 0.48 ± 0.45bBC | NF | ||
| 6 | 0.81 ± 0.25aCD | 0.59 ± 0.87C | NF | ||
| RPP-3% | Raw | 0 | 1.59 ± 0.11aC | NF | |
| 6 | 1.01 ± 0 .15bG | 2.21 ± 0.12C | NF | ||
| Cooked | 0 | 0.39 ± 0.10bBCD | NF | ||
| 6 | 0.61 ± 0.85aDE | 0.29 ± 0.37E | NF | ||
| CAP-2% | Raw | 0 | 1.34 ± 0.16aD | NF | |
| 6 | 1.05 ± 0.19bG | 1.69 ± 0 :11D | NF | ||
| Cooked | 0 | 0. 34± 0.29bCD | NF | ||
| 6 | 0.57 ± 0 .85aDE | 0.28 ± 0.71E | NF | ||
| CAP-4% | Raw | 0 | 1.39 ± 0.15aD | NF | |
| 6 | 1.01 ± 0.10bG | 1.59 ± 0.11D | NF | ||
| Cooked | 0 | 0.34 ± 0.21bD | NF | ||
| 6 | 0.53 ± 0.88aE | 0.00 ± 0.00F | NF | ||
| CAP-5% | Raw | 0 | 1.39 ± 0.12aD | NF | |
| 6 | 1.01 ± 0.11bG | 1.58 ± 0.09D | NF | ||
| Cooked | 0 | 0.35 ± 0.29bD | NF | ||
| 6 | 0.52 ± 0.88aE | 0.00 ± 0.00F | NF |
Duncan’s multiple tests (P ≤ 0.05) show that means values (±SD) followed by different small letters in the same row and capital letter in the same column are significantly different (effect of storage time and effect of treatments, respectively).
CAP, Cider apple pomace; CMRP, Cucumis melo rind powder; RPP, Red prickly pear; *NF, not found.
The degradation of proteins and fats during storage produce more amino acids and fatty acids, which are ideal for the growth of microorganisms that may have contributed to the increase in the TBC after 6 months of storage. The results showed that compared to the control sample at zero time, after 6 months of storage, the ratio of addition of CMRP, RPP, and CAP lowered the TBC in the burger samples when compared to the control (Table 8). The TBC was generally lower than the allowable limit, which is log107 cfu/g for frozen meat products, after 6 months of storage. At zero time and 6 months following storage, the coliforms were not found in all samples of beef burgers. This could be due to the destruction of the coliform bacteria during storage at low temperatures. Similar results were obtained by Al-Bulushi et al. (2005) and Larney et al. (2003). Additionally, yeasts and molds were not detected at zero time in any beef burger treatments. It was also noted that an increase in the ratio of CMRP (2, 3, and 4%), RPP 91, 2, and 3%), and CAP (2, 4, and 5%) contributed to a decrease in the yeast and mold counts compared to the control sample after 6 months of storage. This might be due to the rich sources of phenolic and flavonoid compounds in CMRP, RPP, and CAP, which also have antimicrobial effects.
Figure 3 shows the sensorial evaluation of the beef burger samples stored at −18°C for 6 months with CMRP (2, 3, and 4%), RPP 91, 2, and 3%), and CAP (2, 4, and 5%) in comparison to the control sample.
Figure 3. Changes in the sensory descriptive analysis of raw and cooked beef burgers supplemented with Cucumis melo rind powder, red prickly pear powder, and cider apple pomace powder during frozen storage at −18 ± 2°C for 6 months.
No significant differences (P > 0:05) were observed in the color score between the control and beef burger samples containing CMRP, RPP, and CAP powder. The taste score of beef burger samples with 4% CMRP, 3% RPP, and 5% CAP was significantly decreased (P ≤ 0:05). This might be due to the taste’s association with the peel’s high phenolic component content, which provided the beef burger samples a slightly acidic and bitter taste (Bassam et al., 2022; Kaderides et al., 2021; Patinho et al., 2019). When compared to the control sample, the odor and overall acceptability scores of 4% CMRP, 3% RPP, and 5% CAP were significantly higher (P ≤ 0:05). Additionally, there was a difference in texture evaluations between the control and samples containing CMRP (2, 3, and 4%), RPP (1, 2, and 3%), and CAP 2, 4, and 5%) that was statistically significant (P ≤ 0:05). Most sensory properties of the treatments were negatively influenced by the frozen storage (Muela et al., 2012). After 6 months of frozen storage, it was shown that the sample containing 4% CMRP, 3% RPP, and 5% CAP had significantly lower (P ≤ 0:05) texture and overall acceptability evaluations.
According to Muela et al. (2012) and Sharma et al. (2016), there were no statistically significant differences (P > 0:05) in color, appearance, texture, and purchase intention between the control sample and the burgers containing pumpkin peel flour (1, 2, 3, and 4%), but the burgers samples containing 1 and 2% concentrations of pumpkin peel flour were widely accepted than the samples containing 4% concentration. This could be due to the presence of phenols, compounds similar to tannins found in the peels of fruits and vegetables, which contribute to the astringent flavor.
The incorporation of fruit and vegetable peel powders into meat products offers a sustainable and health-conscious alternative to synthetic preservatives. These natural additives are valued for their ability to enhance oxidative stability, inhibit microbial growth, and improve shelf life. However, several practical limitations must be addressed prior to their widespread commercial adoption, most notably their impact on sensory attributes, ingredient consistency, and consumer acceptance. One significant limitation of peel-enriched meat products is their effect on organoleptic properties, especially at higher inclusion levels. Although peel powders are rich in polyphenols and flavonoids with proven antioxidant and antimicrobial activities, they may also impart bitter, astringent, or earthy flavors that can be off-putting to consumers. Changes in color and texture, such as darker appearance or increased firmness, were also observed in our experimental groups, particularly with high levels of pomegranate, carrot–mint, and cantaloupe peel powders. These sensory modifications, while minor, could affect consumer preferences and product marketability (Amaral et al., 2023; Fidan et al., 2022).
Additionally, the high fiber content of these peel powders can influence the water-holding capacity and cooking properties of meat. This often results in increased cooking loss or reduced juiciness, which may negatively impact mouthfeel. Although fiber may improve product binding and yield, its excessive inclusion can lead to a tough or rubbery texture, which may not be suitable for all meat formulations (Guldiken et al., 2021). Another practical challenge lies in the natural variability of bioactive compounds in peels. The phytochemical composition of these materials can vary significantly based on plant species, cultivar, growing conditions, ripeness at harvest, and postharvest processing methods. Such inconsistencies can lead to variability in antioxidant potency, antimicrobial effectiveness, and even flavor profile, posing challenges for formulation standardization and regulatory compliance (Abdelrahman et al., 2023; Cámara et al., 2020). While these natural additives show promising functional benefits, they are unlikely to replace synthetic preservatives in all applications completely. Synthetic agents such as sodium nitrite or BHA are highly stable, tightly regulated, and known for their neutral impact on taste and color. In contrast, peel powders may require higher dosages to achieve comparable preservative effects, which could in turn intensify sensory side effects (El-Sayed et al., 2024).
Regulatory frameworks can also limit the use of such “upcycled” ingredients, especially in regions where fruit peel extracts are considered novel food additives. Furthermore, the perception of peels as waste-derived materials may deter consumers unless educational efforts and transparent labeling are implemented to highlight their safety, sustainability, and added value (Rafiq et al., 2021). Finally, consumer acceptability studies are essential. Although consumers are increasingly drawn to natural labels, actual purchasing decisions are heavily influenced by taste, texture, and appearance. Controlled sensory evaluations and consumer testing are required to identify optimal inclusion levels and to develop formulations that balance functional benefits with desirable sensory outcomes (Jridi et al., 2022; Zhang et al., 2021). In conclusion, while peel-enriched meat systems offer compelling advantages, addressing limitations related to sensory quality, ingredient variability, and market perception is essential. Future research should focus on refining extraction techniques, optimizing dose-response relationships, and ensuring consistent quality to facilitate the successful commercialization of these natural additives in the meat industry.
Preservatives play a critical role in maintaining the microbiological and oxidative stability of meat products, thereby extending shelf life and ensuring safety. Traditionally, synthetic preservatives such as BHA, BHT, sodium nitrite, sorbic acid, and propyl gallate have been widely used due to their proven effectiveness, economic feasibility, and stability under processing conditions. However, growing consumer awareness of potential health risks and the demand for “clean-label” foods have intensified interest in natural, plant-derived alternatives, particularly those sourced from fruit and vegetable by-products, herbs, and spices (Ganesan et al., 2021; Jridi et al., 2022).
Synthetic antioxidants such as BHA and BHT are phenolic and function primarily by donating hydrogen atoms to stabilize free radicals, thus preventing lipid peroxidation in meat systems. Despite their effectiveness at low concentrations and thermal stability, long-term consumption of these additives has been linked to potential toxic effects, including hepatotoxicity and possible carcinogenicity (Eraslan et al., 2021). Similarly, sodium nitrite is used extensively in cured meat products to inhibit the growth of Clostridium botulinum and contribute to color development. However, nitrites’ potential to form nitrosamines—recognized carcinogens—under certain conditions has raised significant food safety concerns (Koniecko et al., 2023). In contrast, natural plant-based preservatives, including extracts from pomegranate peel, rosemary, grape seed, thyme, clove, and citrus peel, function through multiple mechanisms such as radical scavenging, metal chelation, and microbial inhibition (Fidan et al., 2022). These bioactives, especially polyphenols and flavonoids, contribute to meat preservation while also offering additional health benefits, such as anti-inflammatory, anticarcinogenic, and immunomodulatory effects (Abdelrahman et al., 2023; Amaral et al., 2023). Despite these advantages, natural preservatives present several challenges. Their effectiveness can vary depending on plant origin, extraction methods, and storage conditions, leading to batch-to-batch inconsistency (Cámara et al., 2020). Additionally, to match the performance of synthetic additives, higher doses of natural extracts may be required, which can impact color, taste, and aroma of the final product, potentially reducing consumer acceptability (Zhang et al., 2021). Moreover, regulatory frameworks for natural preservatives are often less defined than for synthetic additives, requiring further evaluation to determine safe and standardized application levels (El-Sayed et al., 2024). Nevertheless, the multifunctionality of plant-based preservatives, including their antimicrobial spectrum against spoilage and pathogenic bacteria, makes them promising candidates for the development of functional meat products. Given the current market trends and regulatory pressure to limit synthetic additives, hybrid preservation strategies—in which natural extracts are used to partially or fully replace synthetic preservatives—may offer a balanced solution that meets both safety standards and consumer expectations (Jridi et al., 2022). In summary, while synthetic preservatives play a vital role in meat preservation due to their predictability and cost efficiency, plant-based alternatives align with health-conscious trends and provide added functional benefits. The future of meat processing embraces an integrated approach, combining both types of preservatives to ensure product stability, safety, and market competitiveness.
C. melo rind powder, RPP, and CAP are economical, functional, and healthy ingredients for food fortification, particularly in animal-origin food products. The application of different concentrations of these powders decreased the value of TBA and TVN and increased the shelf life of meat products. The utilization of CMRP, RPP, and CAP powders is useful in achieving high-stability beef burgers during storage without any negative effects on health or sensory characteristics of the product. The application of different concentrations of these powders decreased the values of TBA and TVN and increased the shelf life of meat products. The results of this study have implications for enhancing the reuse of wastes, including CMRP, RPP, and CAP, as well as for improving the fiber diet without giving up the health benefits of red meat, especially for consumers who are not accustomed to eating meat.
This study does not need ethical approval.
Data will be made available on request.
The author extends his/her appreciation to the Taif University, Saudi Arabia, for supporting this work through project number TU-DSPP-2024-238.
There are no conflicts of interest.
This research was funded by the Taif University, Saudi Arabia, under Project No. (TU-DSPP-2024-238).
Abdelrahman, M.A., Taha, N.M., Salem, M.M.E., & El-Sheikh, A.A., 2023. Utilization of pomegranate peel powder as a natural preservative in meat products. Foods. 12(4): 852. 10.3390/foods12040852
Al-Bulushi, I.M., Kasapis, S., Al-Oufi, H. and Al-Mamari, S., 2005. Evaluating the quality and storage stability of fish burgers during frozen storage. Fisheries Science. 71(3): 648–654. 10.1111/j.1444-2906.2005.01011.x
Al Jumayi, H.A., Allam, A.Y., El-Beltagy, A.E.-D., Algarni, E.H., Mahmoud, S.F. and El Halim Kandil, A.A., 2022. Bioactive compound, antioxidant, and radical scavenging activity of some plant aqueous extracts for enhancing shelf life of cold-stored rabbit meat. Antioxidants. 11(6): 1056. 10.3390/antiox11061056
Ali, S., Anjum, M.A., Ejaz, S., Hasan, M.U., Nawaz, A., Hussain, S., et al. 2020. Natural preservatives for improvement of shelf life. In: Nabi Dar, B., Ahmad Shah, M. and Ahmad Mir, S., editors. Shelf life and food safety. Boca Raton: CRC Press. pp. 227–252.
Ali, M.I., Ibrahim, R.M. and Mostafa, A.G., 2022. Production of chicken patties supplemented with cantaloupe by-products: Impact on the quality, storage stability, and antioxidant activity. International Journal of Food Science. 2022: 9918215. 10.1155/2022/9918215
Alizadeh-Sani, M., Mohammadian, E., Rhim, J.-W. and Jafari, S.M., 2020. pH-sensitive (halochromic) smart packaging films based on natural food colorants for the monitoring of food quality and safety. Trends in Food Science & Technology. 105: 93–144. 10.1016/j.tifs.2020.08.014
Amaral, A.B., et al. 2023. Impact of natural antioxidants on the sensory characteristics of meat products: A review. Meat Science. 199: 109001. 10.1016/j.meatsci.2023.109001
Amaral, A.B., Silva, M.V. d. and Lannes, S.C.d.S., 2018. Lipid oxidation in meat: Mechanisms and protective factors—A review. Food Science and Technology. 38: 1–15. 10.1590/fst.32518
AOAC. (2005). Official methods of analysis (18th ed.). Association of Official Analytical Chemists.
Arraibi, A.A., Liberal, Â., Dias, M.I., Alves, M.J., Ferreira, I.C., Barros, L., et al. 2021. Chemical and bioactive characterization of Spanish and Belgian apple pomace for its potential use as a novel dermocosmetic formulation. Foods. 10(8): 1949. 10.3390/foods10081949
Artimage, G. and Berry, W., 1987. Statistical methods. 7th ed. Ames: Iowa Stata University Press. pp. 39–63.
Asem, N., Abdul Gapar, N.A., Abd Hapit, N.H. and Omar, E.A., 2020. Correlation between total phenolic and flavonoid contents with antioxidant activity of Malaysian stingless bee propolis extract. Journal of Apicultural Research. 59(4): 437–442. 10.1080/00218839.2019.1684050
Awad, A.M., Kumar, P., Ismail-Fitry, M.R., Jusoh, S., Ab Aziz, M.F. and Sazili, A.Q., 2022. Overview of plant extracts as natural preservatives in meat. Journal of Food Processing and Preservation. 46(8): e16796. 10.1111/jfpp.16796
Bassam, S.M., Noleto-Dias, C. and Farag, M.A., 2022. Dissecting grilled red and white meat flavor: Its characteristics, production mechanisms, influencing factors and chemical hazards. Food Chemistry. 371: 131139. 10.1016/j.foodchem.2021.131139
Bender, D.A., 2009. A dictionary of food and nutrition. 3rd ed. New York: Oxford University Press.
Blinstrubiene, A. and Burbulis, N., 2022. The effect of berry pomace on quality changes of beef patties during refrigerated storage. Foods. 11(15): 2180. 10.3390/foods11152180
Borujeni, N.E., Karimi, K., Denayer, J.F. and Kumar, R., 2022. Apple pomace biorefinery for ethanol, mycoprotein, and value-added biochemicals production by Mucor indicus. Energy. 240: 122469. 10.1016/j.energy.2021.122469
Cámara, M., et al. 2020. Food by-products as a sustainable source of bioactive compounds: A review. Trends in Food Science & Technology. 100: 274–284. 10.1016/j.tifs.2020.04.021
Chappalwar, V.M., Wakte, P.S. and Shinde, D.B., 2020. Extraction and evaluation of bioactive components from date palm fruit (Phoenix dactylifera L.) pulp. Journal of Food Measurement and Characterization, 14(3): 1734–1743. 10.1007/s11694-020-00380-8
Clarkson, J., 2013. A review of recent studies into caries prevention. British Dental Journal. 214(3): 103–107. 10.1038/sj.bdj.2013.119
Crook, M.A., 2003. The determination of plasma or serum glucose. Annals of Clinical Biochemistry. 40(5): 501–514. 10.1258/000456303770367246
Dilmaçünal, T. and Kuleaşan, H., 2018. Antimicrobial and antioxidant activities of date (Phoenix dactylifera L.) seed extracts. Food Science and Technology. 38(4): 674–680. 10.1590/1678-457x.31417
Domínguez, R., Pateiro, M., Gagaoua, M., Barba, F.J., Zhang, W. and Lorenzo, J.M. 2019. A comprehensive review on lipid oxidation in meat and meat products. Antioxidants. 8(10): 429. 10.3390/antiox8100429
El-Ajnaf, A., 2009. Studies on the microbiological and biochemical aspects of Libyan dates [Master’s thesis, University of Tripoli].
El-Alim, A.A.H., El-Habashi, A.M. and Eshra, D.H., 1999. Utilization of date syrup in the production of fermented dairy products. Egyptian Journal of Dairy Science. 27(2): 229–240.
Elhelaly, A.E., Alkhadim, A.A. and Salama, A.F., 2022. Evaluation of antioxidant and antimicrobial potential of date palm seed extracts. Journal of Food Quality. Article ID 5120186. 10.1155/2022/5120186
El-Sayed, S.M. 2024. Enhancement of meat quality and safety using edible films enriched with fruit peel extracts. Journal of Food Processing and Preservation. 48(2): e17092. 10.1111/jfpp.17092
El Sheikha, A.F., Allam, A.Y., Oz, E., Khan, M.R., Proestos, C. and Oz, F., 2022. Edible xanthan/propolis coating and its effect on physicochemical, microbial, and sensory quality indices in mackerel tuna (Euthynnus affinis) fillets during chilled storage. Gels. 8(7): 405. 10.3390/gels8070405
Embaby, H.E., Mokhtar, S.M. and Salama, A.A., 2016. Nutritive value and functional properties of defatted date seed flour. Food Science and Nutrition. 4(4): 528–538. 10.1002/fsn3.309
Eraslan, G. 2021. Toxicological evaluation of butylated hydroxyanisole (BHA) in food: A comprehensive review. Toxicology Letters. 344: 1–8. 10.1016/j.toxlet.2021.03.009
Farrell, D.J. 1998. Enzymes in poultry nutrition and their application. World’s Poultry Science Journal. 54(1): 27–43. 10.1079/WPS19980003
Fidan, H. 2022. Effects of fruit peel extracts on sensory and oxidative stability of meat patties. Antioxidants. 11(7): 1354. 10.3390/antiox11071354
Floros, J.D., Newsome, R., Fisher, W., Trumbette, S. and Clapper, A., 2010. Feeding the world today and tomorrow: The importance of food science and technology. Comprehensive Reviews in Food Science and Food Safety. 9(5): 572–599. 10.1111/j.1541-4337.2010.00127.x
Ganesan, K., et al. 2021. Emerging role of polyphenols in meat preservation. Molecules. 26(24): 7510. 10.3390/molecules26247510
Ganji, V., Kafai, M.R. and McCarthy, E., 2019. Consumption of yogurt and the incident risk of cardiovascular disease: A meta-analysis of cohort studies. Journal of the American College of Nutrition. 38(5): 423–429. 10.1080/07315724.2018.1523481
García-Cayuela, T., Gómez de Saravia, S.G. and Peláez, C., 2019. Advances in functional and bioactive properties of dairy products. Critical Reviews in Food Science and Nutrition. 59(3): 360–373. 10.1080/10408398.2017.1375890
Ghinea, I.O. and Leahu, A. 2022. Fruit and vegetable by-products as sources of natural antioxidants for food industry. Agriculture and Agricultural Science Procedia. 30: 299–304.
Gómez, C., Roura, E. and Bravo, L., 2018. Evaluation of antioxidant capacity and phenolic content in selected fruit and vegetable by-products. Food Chemistry. 248: 148–156. 10.1016/j.foodchem.2017.11.121
Gómez-García, R., Martínez-Ávila, G.C.G. and Aguilar, C.N., 2020. Valorization of food waste by hydrothermal carbonization: Antioxidant and antimicrobial activity of hydrochars. Waste and Biomass Valorization. 11(1): 217–227. 10.1007/s12649-018-0476-2
Guldiken, B., et al. 2021. Potential use of dietary fibers from fruit by-products in meat formulations: Functional and sensory implications. Food Chemistry. 352: 129419. 10.1016/j.foodchem.2021.129419
Harold, M., 1987. Food: The chemistry of its components (2nd ed.). Royal Society of Chemistry – print book.
Hurst, W.J., Tarka, S.M. and Payne, M.J., 2018. Impact of cocoa processing on flavanol content. European Journal of Nutrition. 57(Suppl. 1): S27–S38. 10.1007/s00394-018-1749-0
Ibrahim, F., 2016. Antioxidant potential of date fruits in functional food formulations. Journal of Food Research. 5(2): 12–20. 10.5539/jfr.v5n2p12
Ibrahim, F. and El-Masry, H.G., 2016. Fortification of yogurt with date paste: Effects on physicochemical, sensory and microbiological properties. International Journal of Dairy Technology. 69(1): 120–127. 10.1111/1471-0307.12217
Izzreen, M.N. and Noriham, A., 2011. Phenolic content and antioxidant activity of fruit extracts. International Food Research Journal. 18: 571–578.
Jridi, M., et al. 2022. Insights into the development of functional meat products using natural antioxidants: Current trends and challenges. Journal of Functional Foods. 88: 104909. 10.1016/j.jff.2021.104909
Kaderides, K., Goula, A.M. and Adamopoulos, K.G., 2021. A functional powdered beverage from pomegranate peels: Formulation and optimization. Journal of Food Science and Technology, 58(2), 537–545. 10.1007/s13197-020-04560-w
Katalinić, V., Možina, S.S., Skroza, D., Generalic, I., Abramović, H., Miloš, M., ... & Boban, M., 2006. Screening of 70 medicinal plant extracts for antioxidant capacity and total phenols. Food Chemistry. 94(4): 550–557. 10.1016/j.foodchem.2004.12.004
Karrar, E., Mahdi, A.A., Sheng, F. and Xia, W., 2022. Date palm fruits as a potential dietary supplement: A review of functional and nutraceutical properties. Food Science & Nutrition, 10(2), 437–455. 10.1002/fsn3.2693
Kharrat, N., Mokni, M., Oueslati, S., Rebai, T. and Ayadi, M.A., 2018. Antioxidant activities of Tunisian date varieties (Phoenix dactylifera L.). Journal of Food Measurement and Characterization. 12: 2379–2386. 10.1007/s11694-018-9850-6
Koniecko, M., et al. 2023. A review of nitrite and nitrate in meat processing: Toxicology and alternatives. Trends in Food Science & Technology. 133: 100–112. 10.1016/j.tifs.2023.02.010
Kowalczewski, P.Ł. and Andreani, L., 2015. Functional food—A review. Acta Innovations. 17: 21–29. 10.32933/ActaInnovations.17.3
Krishnaiah, D., Sarbatly, R. and Nithyanandam, R., 2011. A review of the antioxidant potential of medicinal plant species. Food and Bioproducts Processing. 89(3): 217–233. 10.1016/j.fbp.2010.04.008
Larney, M., Egan, D. and O’Beirne, D., 2003. Vegetable-based antioxidant systems for prolonging shelf-life of minimally processed lettuce. International Journal of Food Science & Technology. 38(2): 159–165. 10.1046/j.1365-2621.2003.00654.x
Li, H.B., Wong, C.C., Cheng, K.W. and Chen, F., 2008. Antioxidant properties in vitro and total phenolic contents in methanol extracts from medicinal plants. LWT–Food Science and Technology. 41(3): 385–390. 10.1016/j.lwt.2007.03.006
Llavata, B., Picó, Y. and Herráez-Hernández, R., 2022. A review on advanced sample preparation for food analysis: Extraction, clean-up, and preconcentration. Molecules. 27(13): 4073. 10.3390/molecules27134073
López-Fernández, M.P., Rebollo-Hernanz, M., Aguilera, Y., de Pablo, Á.L.L., Muñoz-Muñoz, J.L. and Martín-Cabrejas, M.A., 2022. Black garlic as an ingredient in ready-to-eat foods: Nutritional, antioxidant, and antimicrobial properties. Foods. 11(5): 658. 10.3390/foods11050658
Lyu, F., Gao, F., Wei, X., Du, G. and Li, X., 2020. Effect of drying methods on bioactive compounds and antioxidant capacity in Chinese wild blueberries. Food Chemistry. 328: 127100. 10.1016/j.foodchem.2020.127100
Mahloko, L.M., Silungwe, H., Mashau, M.E. and Kgatla, T.E., 2019. Effect of drying methods on chemical composition, antioxidant activities of Bidens pilosa and its application in the development of a functional beverage. Heliyon. 5(10): e02479. 10.1016/j.heliyon.2019.e02479
Majumder, R. and Annegowda, H.V., 2021. Plant secondary metabolites and the regulation of human health: A review. Current Nutrition & Food Science. 17(1): 14–27. 10.2174/1573401316666200601162856
Mallek-Ayadi, S., Bahloul, N. and Kechaou, N., 2017. Chemical composition and functional properties of dietary fiber extracted from Tunisian date varieties (Phoenix dactylifera L.). International Journal of Food Science & Technology. 52(4): 1021–1027. 10.1111/ijfs.13368
Manessis, L., Derde, M.P., Rogez, H., Rawel, H. and Everaert, N., 2020. Effect of plant polyphenols on digestibility of dietary proteins and potential implications for gut health. Critical Reviews in Food Science and Nutrition. 60(20): 3353–3366. 10.1080/10408398.2019.1691440
Mariamenatu, A.H. and Abdu, E.M., 2021. Overviews of biological importance of quercetin: A bioactive flavonoid. International Journal of Food Science. Article ID 6645374. 10.1155/2021/6645374
Massini, L., Rico, D., Martin-Diana, A.B. and Barry-Ryan, C., 2016. Apple peel flavonoids as natural antioxidants for vegetable juice applications. European Food Research and Technology. 242(9): 1459–1469. 10.1007/s00217-016-2646-8
Marmion, M., Forde, C.G. and Fitzgerald, G.F., 2021. Advances in the design and delivery of functional foods. Annual Review of Food Science and Technology. 12: 227–247. 10.1146/annurev-food-062520-041127
Msaddak, L., Siala, R., Fakhfakh, N., Ayadi, M., Nasri, M. and Zouari, N., 2015. Cladodes from prickly pear as a functional ingredient: Effect on fat retention, oxidative stability, nutritional and sensory properties of cookies. International Journal of Food Sciences and Nutrition. 66(8): 851–857. 10.3109/09637486.2015.1095862
Muela, E., Sañudo, C., Campo, M.M., Medel, I. and Beltrán, J.A., 2012. Effect of freezing method and frozen storage duration on lamb sensory quality. Meat Science. 90(1): 209–215. 10.1016/j.meatsci.2011.06.019
Nam, J.S., Park, S.Y., Oh, H.J., Jang, H.L. and Rhee, Y.H., 2019. Phenolic profiles, antioxidant and antimicrobial activities of pawpaw pulp (Asimina triloba [L.] Dunal) at different ripening stages. Journal of Food Science. 84(1): 174–182. 10.1111/1750-3841.14414
Nastasi, J.R., Kontogiorgos, V., Daygon, V.D. and Fitzgerald, M.A., 2022. Pectin-based films and coatings with plant extracts as natural preservatives: A systematic review. Trends in Food Science & Technology. 120: 193–211. 10.1016/j.tifs.2022.01.014
Nawaz, S.H. and Shafique, M., 2022. Shelf life and food safety. In: Nabi Dar, B., Ahmad Shah, M. and Ahmad Mir, S., editors. Shelf life and food safety. Boca Raton: CRC Press. pp. 150. 10.1201/9781003091677
Noumo, T.N., Mbougueng, P.D., Tatsadjieu, L.N., Sokamte, A.T. and Mbofung, C.M.F., 2016. Development of low fat beef patty using Cucurbita maxima Duchesne defatted seeds flour paste. Journal of Food Measurement and Characterization. 10(3): 480–492. 10.1007/s11694-016-9332-3
Oktay, M., Gülçin, İ. and Küfrevioğlu, Ö.İ., 2003. Determination of in vitro antioxidant activity of fennel (Foeniculum vulgare) seed extracts. LWT–Food Science and Technology. 36(2): 263–271. 10.1016/S0023-6438(02)00226-8
Okwu, D.E., Emenike, I.N. and Okwu, M.U., 2019. Phytochemical and antimicrobial activity of methanol extracts of Garcinia kola seeds. Journal of Medicinal Plants Research. 13(10): 233–238. 10.5897/JMPR2019.6820
Ozsoy, N., Can, A., Yanardağ, R. and Akev, N., 2008. Antioxidant activity of Smilax excelsa L. leaf extracts. Food Chemistry. 110(3): 571–583. 10.1016/j.foodchem.2008.02.020
Palmeri, R., Restuccia, C. and Spagna, G., 2018. Biological activity of phenolic extracts from extra virgin olive oils. Italian Journal of Food Science. 30(3): 456–468.
Patinho, I., Rincón-Cervera, M.Á. and Guillén, M.D., 2019. Influence of minor components of oils on bioactive lipid oxidation products. Food Research International. 119: 47–56. 10.1016/j.foodres.2019.01.038
Parafati, L., Restuccia, C., Palmeri, R. and Fallico, B., 2019. Valorization of pomegranate peel extract as an ingredient in yogurt: Influence on antioxidant properties and shelf life. Foods. 8(8): 362. 10.3390/foods8080362
Parafati, L., Fallico, B. and Restuccia, C., 2020. Application of natural preservatives extracted from plants in dairy products. Foods. 9(6): 715. 10.3390/foods9060715
Parafati, L., Fallico, B. and Restuccia, C. 2021. Pomegranate peel extract as a functional additive in dairy foods: A review. Antioxidants. 10(5): 820. 10.3390/antiox10050820
Pateiro, M., Munekata, P.E.S., Lorenzo, J.M., Domínguez, R. and Barba, F.J., 2019. Fermented meat products as probiotics carriers: Microbiological and functional aspects. Meat Science. 156: 139–146. 10.1016/j.meatsci.2019.06.003
Pérez-Alvarez, J.A., Fernández-López, J., Viuda-Martos, M. and Sendra, E., 2019. Incorporation of fruit and vegetable by-products for improving the functional properties of meat and meat products. Food Research International. 120: 517–526. 10.1016/j.foodres.2018.10.031
Pérez-Chabela, M.L. and Hernández-Alcántara, A.M., 2018. Agroindustrial coproducts as sources of novel functional ingredients. In: Grumezescu A.M. and Holban A.M., editors. Food processing for increased quality and consumption. Cambridge, MA, USA: Academic Press. pp. 219–250.
Pollini, L., Blasi, F., Ianni, F., Grispoldi, L., Moretti, S., Di Veroli, A., et al. 2022. Ultrasound-assisted extraction and characterization of polyphenols from apple pomace, functional ingredients for beef burger fortification. Molecules. 27(6): 1933. 10.3390/molecules27061933
Pulido, R., Bravo, L. and Saura-Calixto, F., 2000. Antioxidant activity of dietary polyphenols as determined by a modified ferric reducing/antioxidant power assay. Journal of Agricultural and Food Chemistry. 48(8): 3396–3402. 10.1021/jf9913458
Rafiq, S., et al. 2021. Consumer perception of fruit and vegetable waste valorization in functional foods. Sustainability. 13(2): 720. 10.3390/su13020720
Reis, S.F., Rai, D.K. and Abu-Ghannam, N., 2012. Water at room temperature as a solvent for the extraction of apple pomace phenolic compounds. Food Chemistry. 135(3): 1991–1998. 10.1016/j.foodchem.2012.06.068
Sakanaka, S., Tachibana, Y. and Okada, Y., 2005. Preparation and antioxidant properties of extracts of Japanese persimmon leaf tea (kakinoha-cha). Food Chemistry. 89(4): 569–575. 10.1016/j.foodchem.2004.03.013
Schwab, U., Lauritzen, L., Tholstrup, T., Haldorsson, T. I., Riserus, U., Uusitupa, M. and Becker, W., 2008. Effect of the amount and type of dietary fat on cardiometabolic risk factors and risk of developing type 2 diabetes, cardiovascular diseases, and cancer: A systematic review. Food & Nutrition Research. 52. 10.3402/fnr.v52i0.1821
Selim, S., Albqmi, M., Al-Sanea, M.M., Alnusaire, T.S., Almuhayawi, M.S., AbdElgawad, H., et al. 2022. Valorizing the usage of olive leaves, bioactive compounds, biological activities, and food applications: A comprehensive review. Frontiers in Nutrition. 9: 1008349. 10.3389/fnut.2022.1008349
Shan, B., Cai, Y.Z., Sun, M. and Corke, H., 2005. Antioxidant capacity of 26 spice extracts and characterization of their phenolic constituents. Journal of Agricultural and Food Chemistry. 53(20): 7749–7759. 10.1021/jf051513y
Sharma, S.K., Bansal, S., Mangal, M., Dixit, A.K., Gupta, R.K. and Mangal, A., 2016. Utilization of food processing by-products as dietary, functional, and novel fiber: A review. Critical Reviews in Food Science and Nutrition. 56(10): 1647–1661. 10.1080/10408398.2013.794327
Sharma, P. and Yadav, S., 2020. Effect of incorporation of pomegranate peel and bagasse powder and their extracts on quality characteristics of chicken meat patties. Food Science of Animal Resources. 40(3): 388–400. 10.5851/kosfa.2020.e19
Shivakumar, A., Khedkar, C.D., Patil, M.P. and Kadam, S.U., 2023. Plant-based bioactive compounds as natural preservatives for meat and meat products: A review. Food Research International, 166, 112578. 10.1016/j.foodres.2023.112578
Shivakumar, N., Ramesh Babu, M.S., Vasudeva, S. and Akshay, H., 2023. Bio-based materials used in food packaging to increase the shelf life of food products. In: Biobased materials: Recent developments and industrial applications. Springer. pp. 195–209.
Shobana, S. and Naidu, K.A., 2000. Antioxidant activity of selected Indian spices. Prostaglandins, Leukotrienes and Essential Fatty Acids (PLEFA). 62(2): 107–110. 10.1054/plef.1999.0113
Singh, P.K., Singh, R.P., Singh, P. and Singh, R.L., 2019. Food hazards: Physical, chemical, and biological. In: Singh, R.L. and Mondal, S., editors. Food safety and human health. Cambridge, MA, USA: Academic Press. pp. 15–65. 10.1016/B978-0-12-816394-1.00002-8
Suárez, B., Álvarez, Á.L., García, Y.D., del Barrio, G., Lobo, A.P. and Parra, F., 2010. Phenolic profiles, antioxidant activity and in vitro antiviral properties of apple pomace. Food Chemistry. 120(1): 339–342. 10.1016/j.foodchem.2009.09.088
Sultana, K., Jayathilakan, K. and Sajeevkumar, V., 2022. Chemistry of animal tissues. In: Cahuhan, O.P., editor. Advances in Food Chemistry. Singapore: Springer. pp. 385–437. 10.1007/978-3-030-95022-1_11
Tarasevičienė, Ž., Čechovičienė, I., Paulauskienė, A., Gumbytė, M., Blinstrubienė, A. and Burbulis, N., 2022. The effect of berry pomace on quality changes of beef patties during refrigerated storage. Foods. 11(15): 2180. 10.3390/foods11152180
Tarladgis, B.G., Watts, B.M., Younathan, M.T. and Dugan, L.Jr., 1960. A distillation method for the quantitative determination of malonaldehyde in rancid foods. Journal of the American Oil Chemists’ Society. 37(1): 44–48. 10.1007/BF02630824
Tyuftin, A.A., & Kerry, J.P., 2023. Sustainable active packaging: Recent trends and advances in bio-based materials. Trends in Food Science & Technology, 132: 204–218. 10.1016/j.tifs.2023.02.009
Verma, A.K., Chatli, M.K. and Kumar, P., 2013. Antioxidant and antimicrobial activity of pomegranate peel extracts in meat products: A review. Meat Science. 94(2): 196–204. 10.1016/j.meatsci.2013.01.007
Verma, A.K., Sharma, B. and Banerjee, R., 2010. Effect of sodium chloride replacement and apple pulp inclusion on the physico-chemical, textural and sensory properties of low fat chicken nuggets. LWT–Food Science and Technology. 43(4): 715–719. 10.1016/j.lwt.2009.12.006
Vlaicu, P.A., Untea, A.E., Turcu, R.P., Saracila, M., Panaite, T.D. and Cornescu, G.M., 2022. Nutritional composition and bioactive compounds of basil, thyme and sage plant additives and their functionality on broiler thigh meat quality. Foods. 11(8): 1105. 10.3390/foods11081105
Yu, H., Qin, C., Zhang, P., Ge, Q., Wu, M., Wu, J., et al. 2015. Antioxidant effect of apple phenolic on lipid peroxidation in Chinese-style sausage. Journal of Food Science and Technology. 52(2): 1032–1039. 10.1007/s13197-013-1112-3
Zhang, Y., et al. 2021. Consumer acceptance of meat products with plant-based preservatives: A cross-cultural study. Food Quality and Preference. 93: 104275. 10.1016/j.foodqual.2021.104275
Zinina, O., Merenkova, S., Tazeddinova, D., Rebezov, M., Stuart, M., Okuskhanova, E., et al. 2019. Enrichment of meat products with dietary fibers: A review. Agronomy Research. 17(4): 1808. 10.15159/AR.19.163