Download

RESEARCH ARTICLE

Evaluating the property changes of probiotic yogurt fortified with Sidr (Ziziphus spina-christi L.) fruits as functional dairy

Amal A. Matar1, Nahed M. Rashed2*, Alaa S. Alhrbi1, Amin K. Amin1

1Food and Nutrition Sciences Department, College of Agricultural and Food Sciences, King Faisal University, Al Ahsa, Saudi Arabia;

2Department of Arid Land Agriculture, College of Agricultural and Food Science, King Faisal University, Al-Ahsa, Saudi Arabia

Abstract

The development of functional dairy products aligns with the growing demands for health-promoting foods. This study investigates the impact of fortifying probiotic yogurt with varying concentrations of Sidr dried pulp powder (SDPP; 0, 2.5, 5.0, and 7.5%) on its physicochemical, rheological, antioxidant, microbiological, and sensory properties during 15 days of refrigerated storage. The addition of SDPP significantly enhanced the total phenolic and flavonoid contents and the antioxidant activity, while slightly increasing acidity with lowering pH over time. Rheological analysis showed improved viscosity and reduced syneresis at moderate SDPP levels (up to 5%). Microbial viability of Lactobacillus acidophilus and Bifidobacterium bifidum remained within acceptable limits throughout storage. Sensory evaluation indicated that samples fortified with up to 5% SDPP were the most acceptable. These findings suggest that SDPP is an effective functional ingredient in low-fat probiotic yogurt for enhancing nutritional value and sensory appeal.

Key words: antioxidant activity, fortified yogurt, probiotic yogurt, rheological properties, sensory properties, Sidr fruits

*Corresponding Author: Nahed M. Rashed, Department of Arid Land Agriculture, College of Agricultural and Food Science, King Faisal University, Al-Ahsa, Saudi Arabia. Email: [email protected]

Academic Editor: Prof. Cristina Alamprese, University of Milano, Italy

Received: 10 March 2025; Accepted: 26 May 2025; Published: 1 July 2025

DOI: 10.15586/ijfs.v37i3.3067

© 2025 Codon Publications
This is an Open Access article distributed under the terms of the Creative Commons Attribution-NonCommercial-ShareAlike 4.0 International (CC BY-NC-SA 4.0). License (http://creativecommons.org/licenses/by-nc-sa/4.0/)

Introduction

Yogurt is known as fermented milk and is popular throughout the world due to its appealing qualities, and is consumed in many parts of the world. It usually contributes to improving human health. It often affects the body’s functions and the many metabolisms in the gastrointestinal tract, particularly in the large intestine. It is rich in micronutrients such as bioactive proteins, riboflavin, hydrolyzed proteins, vitamins, zinc, calcium, potassium, magnesium, and fat. These amounts are greater than those of other dairy products, including the milk used to make yogurt. This characteristic contributes to its global appeal among consumers. This nutritional richness enhances its health benefits and makes it a preferred choice for those seeking functional foods. As a result, its popularity continues to grow worldwide (Khalaf et al., 2021; Shishir et al., 2024; Tremblay and Panahi, 2017).

Making nutritious yogurt has gained popularity due to the increasing demand for high-quality, diversified cuisine. Two starter cultures of lactic acid bacteria (LAB), Streptococcus thermophilus and Lactobacillus bulgaricus, ferment milk to produce this beneficial dairy product. To preserve health, lower cholesterol, and avoid diarrhea, these probiotic bacteria keep the balance of intestinal flora (Hendarto et al., 2019; Khalaf et al., 2021). Yogurt’s nutritional value and functionality can be improved by adding fortification components (Raikos et al., 2018).

Yogurt is more easily digested than milk and offers numerous health advantages to the human body, because it contains prebiotic and probiotic bacteria that improve the intestinal barrier function and impart a positive impact on the gut–brain axis (Sánchez et al., 2017). “Due to the highly acidic conditions of the human stomach, many probiotic strains may not survive gastrointestinal transit, limiting their therapeutic effects. Therefore, for probiotic-containing products like yogurt to be effective, they must include acid-resistant strains capable of surviving gastric acidity and reaching the intestines alive” (Alneamah et al., 2023). Cow’s milk is not the only source from which yogurt may be made; tiny ruminants and plants can also be used. Donkey, sheep, camel, and cow milk are examples of animal-based milk sources (Tahir et al., 2019).

The market for probiotic-containing goods is growing rapidly as a result of consumers’ growing awareness of the relevance of these products for preserving health and well-being. Most probiotic foods currently available in the market, such as yogurt and fermented milks, are fresh goods that must be consumed within a few days or weeks of production. Recently, a significant amount of research has been prompted by the possible health benefits of dairy products that include probiotic organisms such as Lactobacillus and Bifidobacterium spp. on diseases. Prebiotics are indigestible carbohydrates that promote the growth of healthy bacteria (Khurana and Kanawjia, 2007).

Globally, there is a growing tendency toward the use of by-products in food processing, such as natural powdered wild fruits and some agricultural crop wastes, to enhance the nutritional, rheological, and physicochemical qualities of yogurt (Pakseresht et al., 2017; Jovanović et al., 2020). One of the major trends in the food industry, particularly in the dairy sector, which has drawn a lot of scientific attention in recent decades, is functional foods, a concept that blends nutrition and health (Swelam et al., 2021; Atwaa et al., 2022a, 2022b; Shahein et al., 2022). The lowest possible dosage is required to produce positive therapeutic results. Yogurt’s consistency and viscosity are increased when the fruits’ total solids (TS; pectin and sugars) are combined with it; as a result, mouthfeel is enhanced (Amal et al., 2016). Fruits can be added to yogurt recipes in the form of pulp, juice, syrup, or canned fruit. There are several advantages to fortifying dairy products with dietary fiber, including boosting the product’s dietary fiber content, substituting fat, fixing some technical problems, and offering bulking agents, micronutrient premixes, or probiotic or synbiotic effects (Arora et al., 2015).

People commonly refer to the Ziziphus spina-christi tree as Sidr, Nabaq, or Nabka. The tree, which belongs to the Rhamnaceae family, is grown in East and South Asia and the Middle East, including in Arab nations like Saudi Arabia and Egypt. Sidr fruits are considered a rich source of essential dietary components, including minerals, protein, phosphorus, calcium, and carotenoids. It is also high in various vitamins, such as vitamin C, which are present in much greater amounts than those found in strawberries, oranges, and grapes (38 mg) (EH Atwaa et al., 2021). The fruit has a high energy content due to its high sugar content. People typically consume it in jam, fresh, or dry form. Recently, the use of affluent items enhanced by natural materials has expanded. According to reports, 431 chemicals have been identified from the genus Ziziphus, with alkaloids and flavonoids being the most common. Saponins, fatty acids, and phenolics, as well as alkaloids and flavonoids, have numerous biological properties, including antioxidant, antimicrobial, antifungal, antihypertensive, antihyperglycemic, and antidiabetic, as well as anticancer effects (Khaleel et al., 2016; El Maaiden et al., 2020). The Sidr pulp has high total phenolics (46.62 mg/g) and flavonoid (165.68 mg/100 g) contents, resulting in 36.02% suppression of DPPH free radicals (Hashem and El-Lahot, 2021).

Polyphenols, which are significant natural antioxidants, are abundant in Sidr fruits. Natural antioxidants have received a lot of attention; by using these fruits, manufactured antioxidants may be replaced, and skin infections, strokes, urinary problems, insomnia, diabetes, weakness, diarrhea, and other neurological disorders can be prevented and treated with phenolic compound fruits, which are significant natural antioxidants with scavenging activity against free radicals (Al-Ghamdi et al., 2019; Lema et al., 2022). Tryptophan and other amino acids found in fruits are essential for mental well-being and brain function. Aafi et al., (2022) stated that the presence of numerous components, including tannins, alkaloids, saponins, terpenoids, flavonoids, phenolic compounds, amino acids, sugar, protein, lipids, potassium, calcium, phosphate, and iron, is also a contributing factor.

In recent years, the use of healthy products in food processing enriched with natural materials has increased. Nontraditional fruits like Sidr are available abundantly in Saudi Arabia, particularly during the winter season, and are found as a street tree at a cheaper price compared to the other main fruits. This study aims to evaluate the impact of fortifying probiotic yogurt with varying concentrations of Sidr (Ziziphus spina-christi L.) dried pulp powder (SDPP) on its physicochemical, rheological, antioxidant, microbiological, and sensory properties during 15 days of refrigerated storage. The findings may contribute to the development of innovative and functional products from fresh cow’s milk yogurt with enhanced nutritional and sensory profiles.

Materials and Methods

This experiment was carried out at the Food and Nutrition Sciences Department, College of Agricultural and Food Sciences, King Faisal University. The fresh Sidr fruits (Ziziphus spina-christi L.) were purchased from the local market in Al-Ahasa, the eastern region of Saudi Arabia.

Preparation of Sidr dried pulp powder

Using a stainless steel seed remover, the fruits were carefully separated into pulps and seeds after being soaked in cold chlorinated water (50 mg/kg) and rinsed with distilled water. The fruit pulps were then blanched at 80°C for 5 min and dehydrated in a hot air oven (Memmert UE 600, Germany) at 50°C for 48 h. Using a milling machine (Kenwood model CHP 40, China), the dried pulps were crushed into a fine powder and sieved with a 0.425 mm mesh. The powder was placed in an airtight polyethene plastic bag and stored in the refrigerator at 4°C until it was used or subjected to additional examination.

Production of probiotic yogurt fortified with SDPP

Fresh cow’s milk (3.64% fat and 8.72% solid nonfat [SNF]) and skim milk powder (95.53% dry matter, 0.69% fat, and 94.84% SNF) were obtained from the herd of the Research and Experiment Station, King Faisal University. Probiotic starter cultures containing Bifidobacterium bifidum, Lactobacillus acidophilus, and S. thermophilus were obtained from the Microbiological Resources Center, Faculty of Agriculture, Ain Shams University, Egypt. The physicochemical composition of raw cow’s milk and skim milk powder is recorded in Table 1.

Table 1. Physicochemical composition of raw cow’s milk and skim milk powder used in set yogurt manufacturing.

Values Caw milk Skim milk powder
Dry matter 12.36 95.53
Fat 3.64 0.69
Solid nonfat 8.72 94.84
Protein 3.58 34.06
Lactose 4.28 53.84
Ash 0.86 6.94
pH 6.53 6.48
Total acidity 0.16 0.20

Probiotic bacterial inoculation of skim milk was prepared in accordance with (Jovanović et al., 2020). A total of 7 L of 10% skim milk was used for the entire experiment. It was pasteurized for 10 min at 121°C, cooled to the incubation temperature, and inoculated at a level of 2% for 24 h at 37°C (Kebary and Hussein, 1999). 150 g of the inoculated skim milk was transferred into glass containers, and the samples underwent fermentation following a thorough mixing process and the addition of chosen quantities of SDPP (0, 2.5, 5.0, and 7.5% w/w). The fermentation was maintained at 42 ± 1°C for around 2.5 h, or until the pH reached 4.5. Following fermentation, the yogurt samples were agitated and allowed to cool (4°C for 24 h) to stabilize them. Every sample was created in triplicate, and the analysis of each sample was done three times. The samples from all treatments were stored at 5 ± 1°C and subjected to physicochemical analysis and sensory evaluation at 0 time and after 5, 10, and 15 days. Each treatment was replicated three times, resulting in a total of 48 samples (4 treatments × 3 replicates × 4 storage periods).

Physicochemical analysis

Moisture content, crude fiber content, ash content, protein content, total acidity (as % citric acid), pH (by using a digital pH meter, Crison Basic 20), and carbohydrates (calculated by subtracting the sum of moisture, ash, crude fat, crude protein, and crude fiber contents from 100) were determined according to methods described in the (AOAC, 2020).

The bioactive compounds and antioxidant assays

Total phenolic compounds

With minor adjustments, the Folin–Ciocalteu assay was used to measure the total phenolic compounds (TPC) in the methanolic extracts (Barros et al., 2011). Using a spectrophotometer (Model 6505 UV/VIS, Jenway, UK), the absorbance was measured at 765 nm. The TPC was calculated using the linear regression equation (R2 = 0.9986) of a calibration curve of gallic acid (0.00–0.10 mg/mL). Gallic acid equivalents in milligrams per 100 g of material were used to express the results.

Total carotenoid content

The method outlined by (Eugster et al., (1995; Ghendov-Mosanu et al., (2020) was used to calculate the total carotenoid content (TCC). For analysis, a 1:1:1 v/v/v combination of petroleum ether, methanol, and ethyl acetate was employed. The residue was twice extracted using the same solvent mixture after the extract was filtered. The wavelength of maximum absorbance (Max. = 450 nm) was used to measure TCC by MSE PRO 325–1100 nm/4 nm Single Beam UV/Vis spectrophotometer. Low light levels were used for the trials. The TCC was determined as follows using Equation 1:

TCC mg/g =A450£C£D£10002500£100£M 1

Where A450 = absorbance measured at 450 nm.; V = extract’s volume in milliliters; D = dilution factor; 2500 = carotenoids’ absorption coefficient; and m = mass of the sample in grams.

Total flavonoid content (mg QE/100 g)

Absorbance was measured at 510 nm using a T80 UV/Vis spectrophotometer (PG Instruments Ltd., USA). A calibration curve for quercetin was constructed, and its linear regression model (R2 = 0.9976) was applied to quantify the total flavonoid concentration (TFC). The results are expressed as milligrams of quercetin equivalents per 100 g of sample (Barros et al., 2011).

Antioxidant analysis %

DPPH radical scavenging assay was used to analyze the antioxidant %. To create stock solutions with a concentration of 320.0 µg/mL, the researchers separately dissolved the corn silk ethanolic extract and quercetin (standard) in ethanol. Various portions were then taken and diluted to obtain final solutions ranging from 0.1 to 10.0 mg/mL. Each sample was supplemented with 100 µL of DPPH solution, which was concentrated to 0.008% w/v in ethanol, and the total volume was adjusted to 240 µL using ethanol. For the negative control, 100 µL of DPPH was mixed with 140 µL of ethanol. This mixture was used to determine the percentage of inhibition of free radicals. Subsequently, all samples were subjected to a 30-min incubation period at ambient temperature (25 ± 2°C) in light-protected conditions. The absorbance (Abs) was measured at 490 nm. The experiment was conducted in triplicate. The capacity to scavenge free radicals was assessed by measuring the free radical scavenging percentage (I) using the equation provided by (Mohamed et al., (2018).

%I=Abscontrol - AbssampleAbscontrol×100 2

The EC50, the concentration needed to provide a 50% antioxidant effect, was determined using linear regression. The antioxidant activity of the yogurt was determined using the method by (Brand-Williams et al., (1995).

Ascorbic acid content (mg/100 g)

The titrimetric method with 2,6-dichlorophenol-indophenol reagent was employed here (AOAC, 2020). 1 g of homogenized sample was mixed with 20 mL of 2% oxalic acid solution. The mixture was homogenized, diluted to 100 mL with 2% oxalic acid solution, and filtered. 10 mL of the filtrated solution was titrated with 0.01% of 2,6-dichlorophenol-indophenol solution. The final point was considered when the solution turned pink for 15 s. The calibration of 2, 6-dichlorophenol indophenol solution was performed with 0.05% ascorbic acid solution. Results were expressed as mg of ascorbic acid equivalents per 100 g of fresh weight (mg AA/100 g of FW).

Aroma compound analysis

Acetaldehyde and diacetyl carbinol were determined in yogurt sample as described by (Lees and Jago, (1970). Aroma compounds were analyzed using headspace solid–phase microextraction coupled with gas chromatography–mass spectrometry (HS-SPME-GC-MS). Samples were equilibrated at 40°C for 30 min before extraction using a CAR/PDMS fiber. Chromatographic separation was performed on a DB-WAX column (30 m × 0.25 mm × 0.25 μm film thickness), with helium as the carrier gas. Mass spectra were recorded in electron impact mode, and compounds were identified based on retention indices and comparison with reference standards.

Color parameter

A Minolta Chroma Meter CR-210 was employed to assess the sample color under controlled artificial lighting conditions to minimize daylight effects. The color attributes—L* (lightness), a* (red/greenness), and b* (yellow/blueness)—were quantified according to the International Commission on Illumination (CIE) Lab* system, as detailed by (Wallace and Giusti, (2008).

Rheological properties

Syneresis

To evaluate syneresis, 50 g of yogurt was placed into a funnel equipped with 120 metal mesh filters. At 25°C, the weight of the whey released was recorded after a 30-minute interval, and the syneresis was expressed in grams of drained whey per 50 g of yogurt (Atallah et al., 2020).

Viscosity measurements

At room temperature (22 ± 2°C), the apparent viscosity of the yogurt samples was measured using a Brookfield Programmable Viscometer DV-I†+ (Brookfield Laboratories, Inc., Middleboro, Mass., USA.) equipped with spindle No. 4 set at 20 rpm. Viscosity measurements were conducted on samples stored for 0, 5, 10, and 15 days (Aryana, 2003).

Sensory evaluation

A panel of 10 trained members evaluated the appearance, color, body texture, flavor, and general acceptability of each yogurt sample using a 10-point scoring system (Tamime and Robinson, 2007).

Microbiological analysis

Total bacterial count

The total bacterial count (TBC) of wheat flour, psyllium seed flour, and biscuit samples was determined using nutrient agar media as described by (Houghtby et al., (1992). Several dilutions (from 10–1 to 10–4) of the sample homogenate were performed using buffered peptone water media. A sterilized petri dish received 1 mL of each dilution. Then, the dishes were poured with nutrient agar media. The plates were allowed to solidify before incubation at 37°C for 48–72 h. Incubation dishes showed convenient numbers of colonies that were counted as CFU/g.

Molds and yeasts count

The molds and yeasts count were determined using the methods described by (Houghtby et al., (1992), by using potato extract dextrose agar media. The incubation at 20–25°C was continued for 5 days.

Determination of total coliform group count

The total coliform count of the sample was determined on MacConkey agar media according to the method by (Ogbulie et al., (1998) as described by (Ehirim and Onyeneke, (2013). Serial dilutions of 10–1 to 10–4 were prepared by diluting 1 g of the sample in 9 mL of sterilized distilled water. 1 mL aliquots from each dilution in triplicate were inoculated onto petri dishes prepared with MacConkey agar. The plates were then inoculated at 37°C for 48 h. B. bifidum 348 and L. acidophilus were determined on modified MRS agar medium (m-MRS) (Martín-Diana et al., 2003). MRS plates were incubated in anaerobic conditions for 48 h at 37°C, and M17 plates were incubated in aerobic conditions for 48 h at 37°C.

Statistical analysis

The analysis of variance (ANOVA) and Duncan’s tests were used to statistically evaluate the collected data with the aid of the IBM SPSS software. All data were subjected to statistical analysis according to the procedure reported by (Afifah et al., 2022).

Results and Discussion

Physicochemical composition of fresh yogurt samples

Moisture and total solids

The addition of SDPP at varying concentrations (2.5, 5, and 7.5%) significantly influenced the chemical composition of low-fat probiotic yogurt, as observed in Table 2. Moisture content decreased from 85.97% (control) to 80.61% (7.5% SDPP). The TS increased from 14.0 to 19.3%, which is attributed to the higher TS content of fruit pulp compared to milk. These results align with previous studies on fruit-based fortificants. Fruit pulps have a higher TS than milk, which causes an increase in the TS content (Ronak et al., 2016). Similar outcomes were seen in the study by (Soliman and Shehata, (2019) for fermented camel’s milk enhanced with kiwi or avocado fruit.

Table 2. Physicochemical composition of probiotic yogurt fortified with Sidr dried pulp powder at zero time.

Values Treatments
0 SDPP 2.5 SDPP 5.0 SDPP 7.5 SDPP
Moisture% 85.97± 2.18a 84.11± 2.01b 83.26± 2.22c 80.61± 1.94d
TS% 14.0 ± 1.32d 15.8 ± 1.22c 16.7 ± 1.17b 19.3 ± 1.08a
Protein% 4.45 ± 0.32c 4.52 ± 0.28c 4.65 ± 0.14b 4.71 ± 0.42a
Fat% 3.5 ± 0.28a 3.4 ± 0.27a 3.4 ± 0.27a 3.3 ± 0.21b
Ash% 0.9 ± 0.04b 1.0 ± 0.03b 1.0 ± 0.03b 1.1 ± 0.10a
Fiber% 0.14 ± 0.01c 0.25 ± 0.07b 0.38 ± 0.13a
Total carbohydrates% 5.12 ± 0.25d 6.72 ± 0.62c 7.36 ± 1.32b 9.76 ± 2.10a
Total acidity% 0.91 ± 0.26a 0.78 ± 0.18b 0.74 ± 0.10c 0.72 ± 0.01d
pH 4.4 ± 0.03c 4.5 ± 0.09b 4.6 ± 0.17a 4.7 ± 0.21a

SDPP, yogurts fortified with Sidr dried pulp powder concentrate (0, 2.5s, 5.0, and 7.5%); TS, total solids.

Values are means (M) ± standard deviation (SD) of triplicate trails.

In column M ± SD, the same superscript letters are not significantly different at the 5% level.

Protein and fat

Protein content rose from 4.45 to 4.61%. Researchers attribute these results to the rich source of important dietary components, including high protein content, in Sidr fruits (Abdulrahman et al., 2022). The fat content remained stable at lower SDPP levels but slightly decreased from 3.5 to 3.3% at 7.5% SDPP.

Ash and fiber

Ash and fiber contents increased with SDPP concentration, with fiber reaching 0.38% at 7.5% SDPP. Also, research has shown that at low pH, pectin in SDPP interacts electrostatically with casein micelles and calcium ions, enhancing network stability (Liang and Luo, 2020; Chandel et al., 2022). Insoluble dietary fibers also contributed to whey retention and improved texture by forming a cohesive colloidal network (Varnaitė et al., 2022).

Carbohydrates

The total carbohydrate content showed a minor increase from 5.12 to 9.76%, which was consistent with the study findings on mango pulp-fortified yogurt. These observations align with the findings of (Hassan Atwaa and Elmaadawy, (2019)) who reported that the incorporation of mango pulp fiber waste into probiotic yogurt enhanced the TS, protein, ash, and fiber contents in low-fat yogurt samples.

pH and acidity

The pH increased from 4.4 (control) to 4.7 with increasing SDPP, accompanied by a reduction in total acidity. This may be linked to the presence of natural acids and bioactive compounds in SDPP, such as tannins, flavonoids, and phenolics (Ştefania et al., 2016; Aafi et al., 2022; Elaloui et al., 2017), which may buffer lactic acid production during fermentation.

Physicochemical composition of yogurt samples during the storage period

pH values and total acidity

The data illustrated in Figure 1 demonstrate that both the metabolic activity of starter cultures (S. thermophilus and L. bulgaricus) and the addition of SDPP significantly influenced pH and total acidity during yogurt storage. Yogurt fermentation was considered complete when pH reached approximately 4.6, consistent with the literature (Walstra et al., 2006). Fermentation time decreased with increasing SDPP concentration, indicating a stimulatory effect of SDPP on LAB. During 15 days of refrigerated storage, the pH of all samples declined steadily, reaching its lowest value by Day 15. These trends in pH variation during storage are in agreement with the findings from other studies (Ziena and Abd-Elhamid, 2009; Eman et al., 2015; Amal et al., 2016; Wang et al., 2019; Liang and Luo, 2020). These authors also reported increased starter culture activity and acid production in fruit-fortified dairy products.

Figure 1. pH values (A) and total acidity (B) of yogurt fortified with Sidr dried pulp powder (SDPP) during the storage period at 4°C ± 1. SDPP, yogurts fortified with Sidr dried pulp powder concentrate (0, 2.5, 5.0, and 7.5%). Lowercase letters indicate significant differences (P < 0.05) between different SDPP samples at the same storage time. Uppercase letters indicate significant differences (P < 0.05) between the storage days of each yogurt sample. Error bars represent the mean (n = 3) ± standard deviation (SD).

Total acidity increased progressively over the storage period, corresponding to ongoing lactic acid production. The most significant increases were observed in samples fortified with higher SDPP levels, suggesting enhanced microbial activity. The inverse relationship between pH and acidity was more pronounced in SDPP-enriched samples, indicating enhanced acidification due to SDPP incorporation. Polysaccharides and dietary fiber in SDPP may act as prebiotics, promoting the growth and metabolic activity of probiotic bacteria (Gustaw et al., 2011; Thilakarathna et al., 2018). This prebiotic effect likely contributed to the higher lactic acid production, lowered final pH, and increased titratable acidity. The observed acidification trend supports the potential of SDPP to enhance probiotic viability, improve shelf-life stability, and contribute to natural preservation via lower pH.

Bioactive compounds and antioxidant activity

The incorporation of SDPP significantly enhanced the bioactive profile and antioxidant capacity of low-fat probiotic yogurt, as shown in Table 3. TPC increased with SDPP concentration, from 4.32 mg GAE/100 g in the control to 18.30 mg GAE/100 g in 7.5% SDPP at the zeroth day. TPC decreased slightly over 15 days of storage due to chemical and enzymatic degradation, consistent with findings by (Jambi, (2018). However, SDPP-enriched samples retained higher TPC than control throughout storage, confirming SDPP’s potential as a natural phenolic source. Additionally, (Hassan Atwaa and Elmaadawy, (2019) noted that the incorporation of 3% garden cress seed powder into low-fat yogurt enhanced its TPC and antioxidant capacity. (Başlar et al., (2014) attributed the gradual decline in TPC during storage to the instability of phenolic compounds, which undergo various enzymatic and chemical reactions. A positive correlation was observed between total phenolic content and SDPP enrichment in yogurt (Wang et al., 2019).

Table 3. Bioactive compounds and antioxidant activity of yogurt fortified with Sidr dried pulp powder during storage period at 4°C ± 1.

Storage periods (Days) Treatments
0 SDPP 2.5 SDPP 5.0 SDPP 7.5 SDPP
TPC (mg GAE/100 g)
0 Day 4.32Ad ± 0.19 6.74Ac ± 1.80 10.22Ab ± 1.11 18.30Aa ± 1.23
5 Day 3.96Ad ± 0.14 6.70Ac ± 1.76 10.00Ab ± 1.08 18.01Ba ± 1.19
10 Day 3.38Bd ± 0.08 6.11Bc ± 1.62 9.54Bb ± 1.29 17.86Ca ± 1.37
15 Day 3.12Cd ± 0.02 5.34Cc ± 1.43 9.00Cb ± 1.36 17.02Da ± 2.02
TCC (mg/100 g)
0 Day 1.87Ad ± 0.63 5.42Ac ± 1.23 8.45Ab ± 1.45 14.21Aa ± 2.11
5 Day 1.77Ad ± 0.45 5.22Bc ± 1.15 8.11Bb ± 1.92 14.16Aa ± 2.09
10 Day 1.62Bd ± 0.33 5.04Cc ± 1.02 7.89Cb ± 2.13 13.87Ba ± 1.76
15 Day 1.11Cd ± 0.09 4.38Dc ± 0.02 7.13Db ± 1.1 13.05Ca ± 1.23
TFC (mg QE/100 g)
0 Day 0.92Ad ± 0.45 8.11Ac ± 0.98 16.22Ab ± 1.22 22.56Aa ± 2.18
5 Day 0.84Bd ± 0.13 7.98Ac ± 0.94 16.04Bb ± 1.10 22.11Ba ± 2.34
10 Day 0.78Cd ± 0.22 7.80Bc ± 0.45 15.87Cb ± 2.09 21.98Ba ± 1.34
15 Day 0.63Dd ± 0.09 7.33Cc ± 1.01 15.43Db ± 2.18 21.04Ca ± 2.45
AA (mg/100 g)
0 Day 2.45Ac ± 0.82 6.26Ab ± 0.97 9.12Aa ± 1.20
5 Day 2.34Ac ± 0.85 6.01Bb ± 1.06 9.04Ba ± 1.14
10 Day 2.12Bc ± 1.31 5.87Cb ± 1.18 8.66Ca ± 1.01
15 Day 2.00Cc ± 0.86 5.14Db ± 1.02 8.11Da ± 0.87
AO%
0 Day 18.46Ad ± 0.64 24.23Ac ± 1.1 31.12Ab ± 0.42 40.72Aa ± 0.98
5 Day 18.02Ad ± 0.62 24.00Bc ± 0.84 30.87Ab ± 0.45 40.06Ba ± 0.32
10 Day 17.11Bd ± 1.23 23.84Cc ± 0.92 30.11Bb ± 0.76 39.88Ca ± 0.44
15 Day 15.24Cd ± 2.11 21.15Dc ± 2.05 28.40Cb ± 1.32 39.11Da± 1.05

SDPP, yogurts fortified with Sidr dried pulp powder; AA, ascorbic acid content; AO, antioxidant activity; TCC, total carotenoid content; TFC, total flavonoid content; TPC, total phenol content. Values are means (M) ± standard deviation (SD) of triplicate trails.

In column M± SD, the same superscript letters are not significantly different at the 5% level.

a–dThe different superscript letters have a significant difference in the same row (Duncan’s test, P < 0.05).

A–DThe different superscript letters have a significant difference in the same column (Duncan’s test, P < 0.05).

The control sample (0% SDPP) had the lowest carotenoid content (1.87 mg/100 g), while the 7.5% SDPP sample showed the highest value (14.21 mg/100 g) initially. TCC declined over time, likely due to radical-induced degradation, especially under oxidative conditions. This aligns with reports by (Hala et al., (2010) and; Popescu et al., (2022), who noted similar degradation patterns in fruit-fortified dairy products. Flavonoid levels rose significantly with increasing SDPP, from 0.92 mg QE/100 g (control) to 22.56 mg QE/100 g (7.5% SDPP). These compounds contribute to the health-promoting properties of fortified yogurt through their strong antioxidant effects. Antioxidant activity (AO%) increased dose-dependently with SDPP addition, reflecting the rise in phenolic and flavonoid contents. Both DPPH and ABTS assays confirmed enhanced radical scavenging activity in SDPP-enriched samples. Polyphenols in SDPP act as metal chelators, enzyme modulators (e.g., CAT, SOD activators; LO, XO inhibitors), and ROS suppressors, enhancing oxidative stability. However, high concentrations may exhibit prooxidant behavior due to phenoxy radical formation (Chen and Yen, 2007), consistent with the findings of (Pan et al., (2022).

Yogurt enriched with fruit exhibited substantially enhanced scavenging activity compared to plain yogurt (Fernandes et al., 2019). The literature further supports that SDPP alone possesses considerable antioxidant potential; for instance, (Wolfe et al., (2003) demonstrated that fruit extracts with high TPC not only show high total AO but also respond with a significant increase in activity when their concentration is raised (Savatović et al., 2008).

Flavor compounds

Acetaldehyde is a key volatile compound responsible for the characteristic flavor and aroma of yogurt, primarily produced during fermentation by S. thermophilus and L. bulgaricus. The optimal concentration range for acetaldehyde is between 23 and 40 mg/kg, where it contributes a pleasant fruity note (Cheng, 2010). In this study, acetaldehyde levels increased with increasing SDPP concentrations. Fresh yogurt values were 16.44 (control) to 23.14 mg/kg (7.5% SDPP). Over the 15-day storage period, acetaldehyde levels gradually declined, correlating with decreasing pH, consistent with the findings of (Serra et al., (2009).

Diacetyl carbinol contributes to the buttery flavor of yogurt and enhances sensory appeal when present in balanced amounts. Levels of diacetyl carbinol increased with higher SDPP addition, from 2.89 (control) to 4.02 mg/kg (7.5% SDPP) at Day 1. On Day 15, the 7.5% SDPP sample reached 25.88 mg/kg, which was significantly higher than other treatments (P < 0.05). This increase might be due to enhanced metabolic activity of LAB supported by bioactive compounds in SDPP. Diacetyl production follows the citrate metabolism pathway:

Citrate → pyruvate → acetoin → diacetyl, catalyzed by enzymes such as citrate lyase(Tamime and Robinson, 2007).

The final flavor profile of yogurt depends on the balanced interplay of various volatile compounds. Acetaldehyde provides fruity notes. Diacetyl imparts buttery richness. A 1:1 ratio of these compounds is ideal for achieving the desired flavor balance, as highlighted by (Cheng, (2010). SDPP supplementation positively influenced flavor development by modulating volatile profiles and supporting microbial metabolism. Yogurt’s volatile ingredients change while it is stored. At pH 5.0, the acetaldehyde level starts to drop, reaching a peak at pH 4.2 and stabilizing at pH 4.0.

Rheological properties

From a technological perspective, understanding the rheological characteristics of yogurt is crucial, as they directly influence texture, mouthfeel, and consumer acceptance. The sensitivity of yogurt gels to temperature, shear forces, and storage duration is largely due to their complex microstructure (Najgebauer-Lejko et al., 2020). While milk fermentation primarily develops the structure and texture of yogurt, the addition of hydrocolloids such as dietary fiber and pectin can further modify these properties (Dalgleish and Corredig, 2012). The protein network’s microstructure and overall organization in fermented dairy products are key determinants of their rheological and textural behavior (Thilakarathna et al., 2018). A major quality concern in yogurt production is syneresis, also known as whey separation, a defect that results in liquid exudation on the gel surface and leads to an undesirable texture that consumers often find unappealing (El Bouchikhi et al., 2019). Improving the water-holding capacity and stiffness of the gel matrix is essential for enhancing yogurt’s stability against syneresis (Gilbert et al., 2020).

This improvement is attributed to the strengthening of the casein network and enhanced water-binding capacity facilitated by the dietary fiber and pectin content of SDPP (Asaduzzaman et al., 2021). Similar findings were reported by (Demirkol and Tarakci, (2018) and Hanou et al. (2016), who noted that high dietary fiber levels in fortified yogurts correlated with lower syneresis. (Hanou et al., 2016)

Syneresis values generally increased during storage; however, SDPP-enriched samples consistently showed lower syneresis than the control (Figure 2). Increased TS and stronger interactions between milk proteins and fiber components, particularly pectin, likely contributed to this effect (Khubber et al., 2021). Moreover, the strong affinity of polyphenols for casein suggests that the alteration of syneresis may be related to the interactions between polyphenols and proteins. Polyphenols and casein can interact through covalent or noncovalent bonds, resulting in the formation of stable soluble complexes (Oliveira et al., 2015). (Sánchez et al. (2020) also reported that improved water-holding capacity resulted in reduced syneresis during storage.

Figure 2. Acetaldehyde (A) and diacetyl carbinol (B) (mg/kg) of yogurt fortified with Sidr dried pulp powder (SDPP) during the storage period at 4°C±1. SDPP, yogurts fortified with Sidr dried pulp powder concentrate (0, 2.5, 5.0, and 7.5%).

Viscosity, also defined as flow resistance, plays a vital role in determining the sensory attributes of semisolid foods like yogurt (Karaman et al., 2014). As expected, apparent viscosity increased with higher SDPP levels. At time zero, the control sample had the lowest viscosity (2320 mPa•s), while the 7.5% SDPP sample reached the highest value (3904 mPa•s). Viscosity continued to rise significantly (P < 0.05) until Day 14 of storage for all treatments. These findings align with those of (Kavas and Kavas, (2016), who reported similar increases in viscosity with fruit pulp addition. The combination of the highest viscosity and lowest syneresis in the 7.5% SDPP formulation suggests that this concentration provides the optimal balance between structural integrity and sensory appeal, making it the most suitable for industrial application. These results are consistent with (Wang XinYa et al., (2020), who found that the addition of apple pomace improved the textural and rheological properties of stirred yogurt. Finally, SDPP reduces syneresis in a dose-dependent manner. 7.5% SDPP yields the best texture and viscosity. Pectin and polyphenol protein interactions contribute to improved gel stability. Increased TS and fiber content enhance water retention and viscosity. SDPP is a promising functional ingredient for developing technologically stable, low-fat probiotic yogurt.

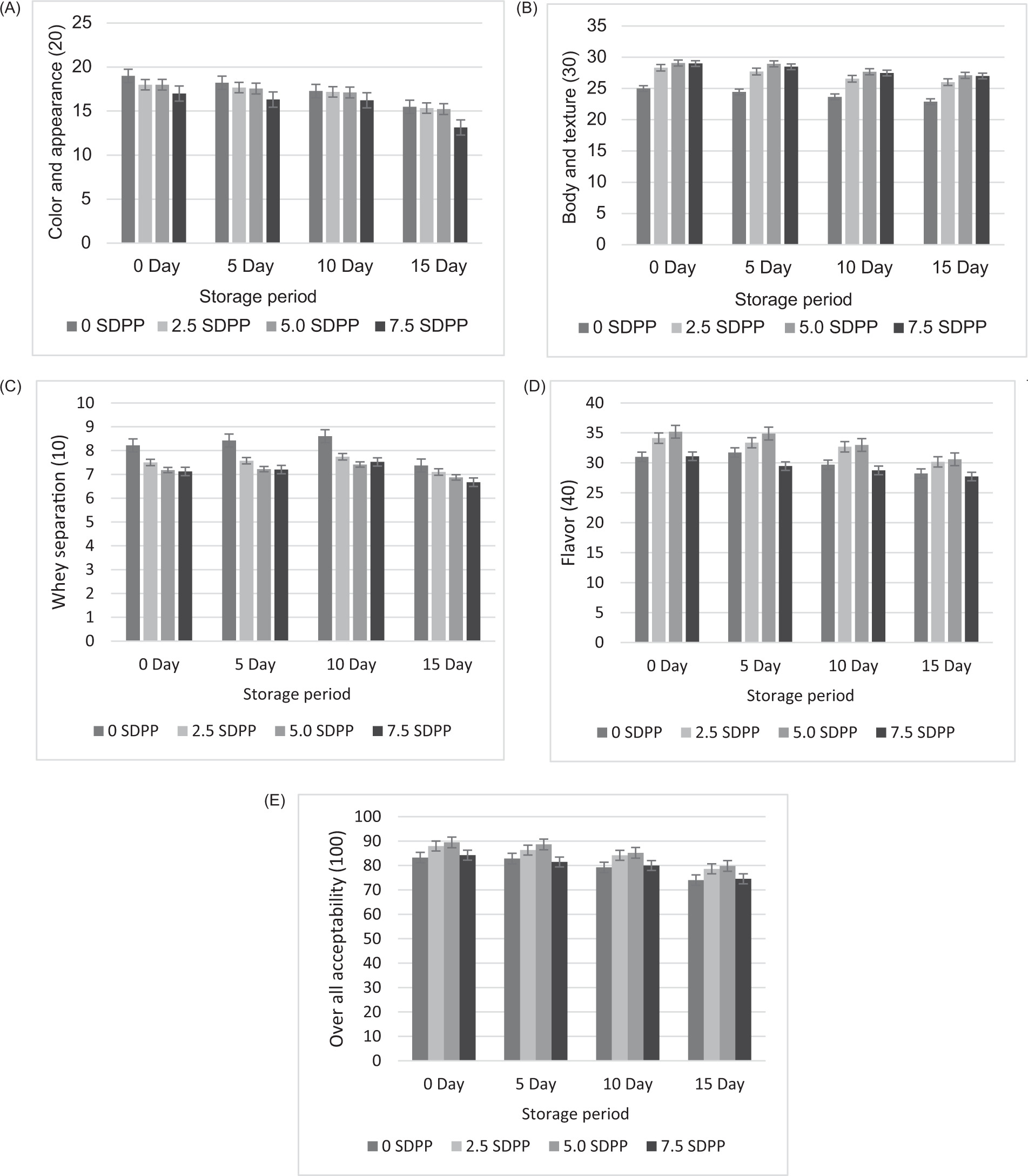
Organoleptic characteristics

The addition of SDPP significantly influenced the organoleptic properties of low-fat probiotic yogurt, including color, texture, flavor, and overall acceptability. A noticeable color shift from white to light green was observed with increasing SDPP concentration, which panelists noted as a deviation from traditional yogurt appearance. While this change did not negatively impact the overall acceptability at moderate levels (up to 5% SDPP), the 7.5% SDPP sample received lower scores for color appeal (Figure 3).

Figure 3. Organoleptic characteristics of yogurt fortified with Sidr dried pulp powder (SDPP) during storage period at 4°C ± 1. SDPP, yogurts fortified with Sidr dried pulp powder concentrate (0, 2.5, 5.0, and 7.5%). Values are means (M) ± standard deviation (SD) of triplicate trails.

The incorporation of SDPP improved body and texture, likely due to its dietary fiber and pectin content, which enhanced viscosity and reduced syneresis. Yogurts fortified with 5% SDPP scored highest in texture acceptability, indicating optimal structural balance. In contrast, the 7.5% SDPP formulation was perceived as grittier and fibrous, which led to reduced sensory scores.

Flavor was enhanced by the addition of SDPP, which was attributed to its natural aromatic compounds and mild sweetness. However, at higher concentrations (7.5% SDPP), a slightly bitter aftertaste was detected that lowered the flavor scores. Overall acceptability peaked at 5% SDPP (79.79%) on Day 15, suggesting that this level offers the best compromise between functional benefits and sensory appeal.

Storage duration significantly affected (P < 0.05) sensory attributes, particularly overall acceptability, which declined gradually over 15 days. Despite this, no significant changes were observed in samples fortified with up to 5% SDPP during storage, indicating good stability of sensory properties. These findings align with previous studies, which show that fruit powders enhance sensory characteristics due to their natural sugars, aromas, and exopolysaccharides (Eman et al., 2015; Amiri et al., 2019; Atwaa et al., 2020; Yousefvand et al., 2022). Similar improvements in flavor and viscosity were reported when skim milk was added to dairy products (Salih and Hamid, 2013; Akalın et al., 2012) However, Akalın et al. (2012) found no major differences in sensory profiles between control and fortified yogurts, highlighting the importance of ingredient compatibility and dosage optimization.

Color attributes

Color plays a key role in determining the consumer acceptability of yogurt. As shown in Table 5, the addition of SDPP significantly altered the color parameters (L*, a*, b*) of low-fat probiotic yogurt. L values (lightness) decreased with increasing SDPP concentration, indicating a darker appearance due to the natural brownish color of SDPP. A values * (redness/greenness) were significantly higher in SDPP-fortified samples compared to the control, reflecting a shift toward red tones. b values * (yellowness) were notably lower in fortified yogurts, especially at 7.5% SDPP (19.98 vs 28.84 in control), indicating reduced yellowness due to SDPP’s pigment profile. These changes suggest that SDPP incorporation modifies the visual perception of yogurt, shifting it from traditional white or yellowish hues to more brownish-red tones, which may influence consumer expectations (Bchir et al., 2018).

Table 4. Rheological properties of yogurt fortified with Sidr dried pulp powder during the storage period at 4°C ± 1.

Storage periods (Days) Treatments
0 SDPP 2.5 SDPP 5.0 SDPP 7.5 SDPP
Syneresis (%)
Fresh 18.22Da± 0.74 15.08Db ± 0.86 14.89Dc ± 0.96 13.11Dd ± 1.11
5 Day 18.76Ca± 0.45 15.82Cb ± 0.56 15.22Cc ± 1.10 13.34Cd ± 1.03
10 Day 19.10Ba ± 0.55 16.22Bb ± 0.90 15.76Bc ± 1.34 14.41Bd ± 1.54
15 Day 21.15Aa± 0.61 17.61Ab ± 0.76 16.36Ac ± 0.82 15.21Ad ± 0.98
Viscosity (m Pa.s)
Fresh 2320Dd ± 1.10 3456Cc ± 0.56 3684Cb ± 0.76 3904Ca ± 0.87
5 Day 2519Cd ± 0.44 3572Cc ± 0.51 3784Bb ± 0.65 4211Ba ± 0.99
10 Day 2760Bd ± 0.28 3711Bc ± 0.42 3802Bb ± 0.62 4280Ba ± 1.02
15 Day 2997Ad ± 0.76 3932Ac ± 0.93 4114Ab ± 1.04 4452Aa ± 1.20

Table 5. Color attributes of yogurt fortified with Sidr dried pulp powder (SDPP) during the storage period at 4°C ± 1.

Storage periods (Days) Treatments
0 SDPP 2.5 SDPP 5.0 SDPP 7.5 SDPP
L
Fresh 98.11Aa ± 1.32 84.22Ab ± 0.36 73.35Ac ± 0.55 65.67Ad ± 0.45
5 Day 92.10Ba ± 1.11 80.38Bb ± 0.11 70.67Bc ± 0.46 62.22Bd ± 0.33
10 Day 85.08Ca ± 0.90 77.65Cb ± 0.01 62.43Cc ± 0.33 59.43Cd ± 0.12
15 Day 79.22Da ± 0.67 71.34Db ± 0.22 59.56Dc ± 0.18 51.98Dd ± 0.58
A
Fresh 5.22Ad ± 0.37 −6.97Ac ± 0.10 −8.70Ab ± 0.22 −12.10Aa ± 0.61
5 Day 4.54Bc ± 0.19 −4.86Bc ± 0.22 −6.30Bb ± 0.90 −10.70Ba ± 0.98
10 Day 3.32Cd ± 0.11 −4.82Bc ± 0.26 −5.20Cb ± 0.56 −8.40Ca ± 0.67
15 Day 1.97Dd ± 0.04 −2.42Cc ± 0.32 −3.70Db ± 0.43 −7.00Da ± 0.57
B
Fresh 28.84Aa ± 0.12 26.34Ab ± 0.30 24.75Ac ± 0.45 19.98Ad ± 0.87
5 Day 26.22Ba ± 0.23 25.11Bb ± 0.37 24.46Ac ± 0.44 19.221Bd ± 0.92
10 Day 24.45Ca ± 0.19 24.54Ca ± 0.24 22.55Bb ± 0.35 18.10Cc± 0.69
15 Day 20.81Da± 0.47 21.03Da± 0.09 20.44Cb± 0.12 16.88Dc± 0.75

SDPP, yogurts fortified with Sidr dried pulp powder.

Values are means (M) ± standard deviation (SD) of triplicate trails.

In column M ± SD, the same superscript letters are not significantly different at the 5% level.

a–dThe different superscript letters have a significant difference in the same row (Duncan’s test, P < 0.05).

A–DThe different superscript letters have a significant difference in the same column (Duncan’s test, P < 0.05).

Comparable results have been reported in yogurts fortified with apple (Staffolo et al., 2004), orange (García-Pérez et al., 2005), and asparagus fibers (Sanz et al., 2008), where similar shifts in color parameters were observed due to the presence of natural pigments and fiber components. While these changes may affect initial consumer perception, moderate SDPP levels (e.g., 5%) were found to yield acceptable color profiles based on the sensory evaluation, balancing functional benefits with aesthetic appeal.

Microbial counts

The microbial profile of probiotic yogurt fortified with SDPP was evaluated by analyzing total bacterial count (TBC), psychrophilic bacterial count, LAB count, and the presence of spoilage indicators such as molds, yeasts, and Escherichia coli. Both TBC and psychrophilic counts decreased slightly with SDPP addition. On Day 1, TBC values ranged from 4.22 (control) to 3.57 log cfu/g (7.5% SDPP), while the psychrophilic counts dropped from 3.48 (0% SDPP) to 2.76 log cfu/g (7.5% SDPP). These reductions may be attributed to the natural antimicrobial compounds present in SDPP, although further investigation is needed. These findings are consistent with those of (Fernandes et al., (2019), who reported that fruit-derived additives such as apple pomace reduced S. thermophilus counts in yogurt. However,( do Espírito Santo et al., (2012) found no significant differences in the viable counts of S. thermophilus and L. acidophilus between control and 1% apple pomace-fortified yogurts, suggesting that moderate levels of plant-based additives do not negatively affect starter cultures (Figure 4).

Figure 4. Microbial counts of yogurt fortified with Sidr dried pulp powder (SDPP) during storage period at 4°C ± 1. SDPP, yogurts fortified with Sidr dried pulp powder concentrate (0, 2.5, 5.0, and 7.5%).

LAB counts increased significantly with increasing SDPP concentration. The highest LAB count (8.44 log cfu/g) was observed in the 7.5% SDPP sample, while the control had the lowest (6.69 log cfu/g). This enhancement suggests that SDPP acts as a prebiotic, likely due to its content of pectin-derived poly- and oligosaccharides, which supports the growth and metabolic activity of probiotic bacteria (Islamova et al., 2017; Wilkowska et al., 2019; Jovanović et al., 2020) .

This aligns with the findings of (Fadaei et al., (2013) and (Agustini et al., (2017), who noted improved LAB survival in yogurt supplemented with Spirulina platensis, attributed to its rich nutritional profile including proteins, vitamins, and dietary fiber. According to (Jin et al., (2018), the bioactive components in fruits and vegetables can promote the growth of probiotic bacteria, supporting our observation that SDPP enhances LAB viability during storage. Microbial counts generally increased until Day 10 of storage before gradually declining. All SDPP treatments showed significant differences over time (P < 0.05), indicating that storage duration positively influenced microbial dynamics, particularly LAB proliferation. Supernatants from SDPP-fortified yogurts were tested for antibacterial activity against E. coli, molds, and yeasts but showed no inhibitory effect at the tested concentrations. In contrast, (Vodnar et al., (2017) demonstrated that ethanol–water apple pomace extracts exhibited antibacterial activity against several pathogens, including Listeria monocytogenes, Salmonella typhimurium, and E. coli. The lack of inhibition in this study could be due to differences in extraction methods, which may alter the bioavailability and composition of active compounds (Rabetafika et al., 2014).

Conclusions

The incorporation of SDPP into low-fat probiotic yogurt significantly enhances its nutritional, physicochemical, rheological, sensory, and functional properties, making it a promising functional ingredient for the development of value-added dairy products. SDPP fortification led to increased TS, protein, fiber, and ash content, contributing to improved nutritional value. The addition of SDPP modulated pH and acidity profiles, with a progressive decrease in pH and increase in titratable acidity during storage. This improvement was attributed to both starter culture metabolism and the prebiotic effects of bioactive compounds present in SDPP. SDPP effectively enriched yogurt with bioactive compounds, including phenolics, flavonoids, and carotenoids, resulting in significantly enhanced AO. While some degradation of these compounds occurred during storage, SDPP remained effective in delivering antioxidant-rich functional yogurt. Lactic acid bacterial counts (L. acidophilus, B. bifidum) increased with higher SDPP concentrations, suggesting a positive prebiotic effect. Total and psychrophilic bacterial counts were slightly reduced but did not compromise the product safety or quality. No direct antibacterial activity was observed against E. coli, molds, or yeasts. SDPP modified the flavor profile by increasing acetaldehyde and diacetyl carbinol levels. Sensory evaluation revealed that SDPP positively influenced texture and flavor, with the 5% SDPP formulation achieving the highest overall acceptability score (79.79%) after 15 days of refrigerated storage. Color parameters shifted from white or yellowish toward brownish-red tones due to SDPP pigments, which may influence consumer perception but did not detract from overall acceptability at moderate concentrations. Yogurts fortified with SDPP exhibited improved viscosity, reduced syneresis, and enhanced water-holding capacity, particularly at higher SDPP levels (e.g., 7.5%). Based on microbial viability, AO, sensory scores, and textural stability, 5–7.5% SDPP appears to be the optimal range for fortification. Future studies should include in vivo trials to validate the health benefits and digestibility of SDPP-fortified yogurts, further supporting their application in functional food markets.

Acknowledgments

The authors gratefully acknowledge the Deanship of Scientific Research, Vice Presidency for Graduate Studies and Scientific Research, King Faisal University, Saudi Arabia (KFU250391), for supporting this research work.

Authors’ Contributions

All authors contributed equally to this article.

Conflicts of Interest

The authors declare no conflicts of interest.

Funding

This work was supported by the Deanship of Scientific Research, Vice Presidency for Graduate Studies and Scientific Research, King Faisal University, Saudi Arabia (KFU250391), and the APC was funded by the same organization.

REFERENCES

Aafi, E., Reza, M., and Mirabzadeh, M., 2022. Jujube (Ziziphus jujuba Mill. [Rhamnaceae]): A review on its pharmacological properties and phytochemistry. Traditional Medicine Research. 7: 38. 10.53388/TMR20220905001

Abdulrahman, M.D., Zakariya, A.M., Hama, H.A., Hamad, S.W., Al-Rawi, S.S., Bradosty, S.W., et al. 2022. Ethnopharmacology, biological evaluation, and chemical composition of Ziziphus spina-christi (L.) Desf.: A review. Advances in Pharmacological and Pharmaceutical Sciences. 2022: 4495688. 10.1155/2022/4495688

Afifah, S., Mudzakir, A., and Nandiyanto, A.B.D., 2022. How to calculate paired sample t-test using SPSS software: From step-by-step processing for users to the practical examples in the analysis of the effect of application anti-fire bamboo teaching materials on student learning outcomes. Indonesian Journal of Teaching in Science. 2: 81–92. 10.17509/ijotis.v2i1.45895

Agustini, T.W., Soetrisnanto, D., and Ma’ruf, W.F., 2017. Study on chemical, physical, microbiological and sensory of yoghurt enriched by Spirulina platensis. International Food Research Journal. 24(1): 367–371.

Akalın, A.S., Unal, G., Dinkci, N., and Hayaloglu, A.A., 2012. Microstructural, textural, and sensory characteristics of probiotic yogurts fortified with sodium calcium caseinate or whey protein concentrate. Journal of Dairy Science. 95: 3617–3628. 10.3168/jds.2011-5297

Al-Ghamdi, A.A.M., El-Zohri, M., and Shahat, A.A., 2019. Hepatoprotective, nephroprotective, anti-amylase, and antiglucosidase effects of Ziziphus spina-christi (L.) against carbon tetrachloride-induced toxicity in rats. Tropical Journal of Pharmaceutical Research. 18: 781–790. 10.4314/tjpr.v18i4.15

Alneamah, S., Al-Shawi, A., Al-Shawi, H., and Al-Shawi, S., 2023. Probiotics: Benefits against the risks. Euphrates Journal of Agricultural Science. 15: 150–163.

Amal, A., Eman, A., and Nahla, S.Z., 2016. Fruit flavored yogurt: Chemical, functional and rheological properties. International Journal of Agriculture and Environmental Research. 2(5): 57–66.

Amiri, S., Mokarram, R.R., Khiabani, M.S., Bari, M.R., and Khaledabad, M.A., 2019. Exopolysaccharides production by Lactobacillus acidophilus LA5 and Bifidobacterium animalis subsp. lactis BB12: Optimization of fermentation variables and characterization of structure and bioactivities. International Journal of Biological Macromolecules. 123: 752–765. 10.1016/j.ijbiomac.2018.11.084

AOAC, 2020. Official methods of analysis. MD, USA: Association of Official Analytical Chemists.

Arora, S.K., Patel, A.A., and Chauhan, O.P., 2015. Trends in milk and milk products fortification with dietary fibers. American Journal of Advanced Food Science and Technology. 3: 14–27. 10.7726/ajafst.2015.1002

Aryana, K.J., 2003. Folic acid fortified fat-free plain set yoghurt. International Journal of Dairy Technology. 56: 219–222. 10.1046/j.1471-0307.2003.00105.x

Asaduzzaman, M., Mahomud, M.S., and Haque, M.E., 2021. Heat-induced interaction of milk proteins: Impact on yoghurt structure. International Journal of Food Science. 2021: 5569917. 10.1155/2021/5569917

Atallah, A.A., Morsy, O.M., and Gemiel, D.G., 2020. Characterization of functional low-fat yogurt enriched with whey protein concentrate, Ca-caseinate and spirulina. International Journal of Food Properties. 23: 1678–1691. 10.1080/10942912.2020.1823409

Atwaa, E.H., Hanan, A.R., and Shalaby, H.S., 2021. Therapeutic potential of low-fat yogurt supplemented with dried Nabaq fruit (Zizyphus spina-christi L.) on hyperglycemia in streptozotocin-induced diabetic rats. Egyptian Journal of Nutrition. 36: 149–201. 10.21608/enj.2021.209235

Atwaa, E.S.H., Shahein, M.R., Alrashdi, B.M., Hassan, M.A.A., Alblihed, M.A., Dahran, N., et al. 2022a. Effects of fermented camel milk supplemented with Sidr fruit (Ziziphus spina-christi L.) pulp on hyperglycemia in streptozotocin-induced diabetic rats. Fermentation. 8: 269. 10.3390/fermentation8060269

Atwaa, E.S.H., Shahein, M.R., El-Sattar, E.S.A., Hijazy, H.H.A., Albrakati, A., and Elmahallawy, E.K., 2022b. Bioactivity, physicochemical and sensory properties of probiotic yoghurt made from whole milk powder reconstituted in aqueous fennel extract. Fermentation. 8: 52. 10.3390/fermentation8020052

Barros, L., Cabrita, L., Boas, M.V., Carvalho, A.M., and Ferreira, I.C.F.R., 2011. Chemical, biochemical and electrochemical assays to evaluate phytochemicals and antioxidant activity of wild plants. Food Chemistry. 127: 1600–1608. 10.1016/j.foodchem.2011.02.024

Başlar, M., Karasu, S., Kiliçli, M., Us, A.A., and Sağdiç, O., 2014. Degradation kinetics of bioactive compounds and antioxidant activity of pomegranate arils during the drying process. International Journal of Food Engineering. 10: 839–848. 10.1515/ijfe-2014-0080

Bchir, B., Jean-François, T., Rabetafika, H.N., and Blecker, C., 2018. Effect of pear, apple and date fibres incorporation on the physico-chemical, sensory, nutritional characteristics and the acceptability of cereal bars. Food Science and Technology International. 24: 198–208. 10.1177/1082013217742752

Brand-Williams, W., Cuvelier, M.-E., and Berset, C., 1995. Use of a free radical method to evaluate antioxidant activity. LWT–Food Science and Technology. 28: 25–30. 10.1016/S0023-6438(95)80008-5

Chandel, V., Biswas, D., Roy, S., Vaidya, D., Verma, A., and Gupta, A., 2022. Current advancements in pectin: Extraction, properties and multifunctional applications. Foods. 11: 2683. 10.3390/foods11172683

Chen, H.-Y., Yen, G.-C., 2007. Antioxidant activity and free radical-scavenging capacity of extracts from guava (Psidium guajava L.) leaves. Food Chemistry. 101: 686–694. 10.1016/j.foodchem.2006.02.047

Cheng, H., 2010. Volatile flavor compounds in yogurt: A review. Critical Reviews in Food Science and Nutrition. 50: 938–950. 10.1080/10408390903044081

Dalgleish, D.G., and Corredig, M., 2012. The structure of the casein micelle of milk and its changes during processing. Annual Review of Food Science and Technology. 3: 449–467. 10.1146/annurev-food-022811-101214

Demirkol, M., and Tarakci, Z., 2018. Effect of grape (Vitis labrusca L.) pomace dried by different methods on physicochemical, microbiological and bioactive properties of yoghurt. LWT. 97: 770–777. 10.1016/j.lwt.2018.07.058

do Espírito Santo, A.P., Cartolano, N.S., Silva, T.F., Soares, F.A.S.M., Gioielli, L.A., Perego, P., et al. 2012. Fibers from fruit by-products enhance probiotic viability and fatty acid profile and increase CLA content in yoghurts. International Journal of Food Microbiology. 154: 135–144. 10.1016/j.ijfoodmicro.2011.12.025

Ehirim, F.N., and Onyeneke, E.N., 2013. Physico-chemical and organoleptic properties of yoghurt manufactured with cow milk and goat milk. Academic Research International. 4: 245.

El Bouchikhi, S., Pagès, P., El Alaoui, Y., Ibrahimi, A., and Bensouda, Y., 2019. Syneresis investigations of lacto-fermented sodium caseinate in a mixed model system. BMC Biotechnology. 19: 1–10. 10.1186/s12896-019-0539-1

El Maaiden, E., El Kharrassi, Y., Qarah, N.A.S., Essamadi, A.K., Moustaid, K., and Nasser, B., 2020. Genus Ziziphus: A comprehensive review on ethnopharmacological, phytochemical and pharmacological properties. Journal of Ethnopharmacology. 259: 112950. 10.1016/j.jep.2020.112950

Elaloui, M., Ghazghazi, H., Ennajah, A., Manaa, S., Guezmir, W., Karray, N.B., et al. 2017. Phenolic profile, antioxidant capacity of five Ziziphus spina-christi (L.) Wild provenances and their allelopathic effects on Trigonella foenum-graecum L., and Lens culinaris L. seeds. Natural Product Research. 31: 1209–1213. 10.1080/14786419.2016.1226830

Eugster, C.H., Britton, G., Liaaen-Jensen, S., and Pfander, H., 1995. Carotenoids, Vol. 1A: Isolation and analysis. Basel, Switzerland: Birkhauser; pp. 1–12. 10.1007/978-3-0348-9323-7

Fadaei, V., Mohamadi-Alasti, F., and Khosravi-Darani, K., 2013. Influence of Spirulina platensis powder on the starter culture viability in probiotic yoghurt containing spinach during cold storage. European Journal of Experimental Biology. 3: 389–393.

Fernandes, P.A.R., Ferreira, S.S., Bastos, R., Ferreira, I., Cruz, M.T., Pinto, A., et al. 2019. Apple pomace extract as a sustainable food ingredient. Antioxidants. 8: 189. 10.3390/antiox8060189

García-Pérez, Fernández-López, J., Lario, Y., Sayas, E., Pérez-Álvarez, J.A., and Sendra, E., 2005. Effect of orange fiber addition on yogurt color during fermentation and cold storage. Color Research & Application. 30(6): 457–463. 10.1002/col.20158

Gilbert, A., Rioux, L.-E., St-Gelais, D., and Turgeon, S.L., 2020. Characterization of syneresis phenomena in stirred acid milk gel using low frequency nuclear magnetic resonance on hydrogen and image analyses. Food Hydrocolloids. 106: 105907. 10.1016/j.foodhyd.2020.105907

Gustaw, W., Kordowska-Wiater, M., and Kozioł, J., 2011. The influence of selected prebiotics on the growth of lactic acid bacteria for bio-yoghurt production. Acta Scientiarum Polonorum, Technologia Alimentaria. 10(4): 455–466.

Hanou, S., Boukhemis, M., Benatallah, L., Djeghri, B., and Zidoune, M.N., 2016. Effect of ginger powder addition on fermentation kinetics, rheological properties and bacterial viability of dromedary yogurt. Advance Journal of Food Science and Technology. 10: 667–673. 10.19026/ajfst.10.2213

Hashem, S.M., and El-Lahot, A., 2021. Utilization of Nabaq fruit nutritional value and antioxidant activity in some food products. Journal of Food and Dairy Sciences. 12: 111–117. 10.21608/jfds.2021.69882.1020

Hassan Atwaa, E.S., and Elmaadawy, A.A., 2019. Effect of low fat yoghurt supplemented with garden cress seeds powder on hypercholesterolemic rats. Egyptian Journal of Nutrition. 34: 113–144. 10.21608/enj.2019.144744

Hendarto, D.R., Handayani, A.P., Esterelita, E., and Handoko, Y.A., 2019. Mekanisme biokimiawi dan optimalisasi Lactobacillus bulgaricus dan Streptococcus thermophilus dalam pengolahan yoghurt yang berkualitas. Jurnal Sains Dasar. 8: 13–19. 10.21831/jsd.v8i1.24261

Houghtby, G.A., Maturin, L.J., and Koenig, E.K., 1992. Microbiological count methods. Standard Methods for the Examination of Dairy Products. 16: 213–246.

Jambi, H.A., 2018. Evaluation of physio-chemical and sensory properties of yogurt prepared with date pits powder. Current Science International. 7: 1–9.

Jin, X., Chen, W., Chen, H., Chen, W., and Zhong, Q., 2018. Comparative evaluation of the antioxidant capacities and organic acid and volatile contents of mango slurries fermented with six different probiotic microorganisms. Journal of Food Science. 83: 3059–3068. 10.1111/1750-3841.14373

Jovanović, M., Petrović, M., Miočinović, J., Zlatanović, S., Laličić Petronijević, J., Mitić-Ćulafić, D., et al. 2020. Bioactivity and sensory properties of probiotic yogurt fortified with apple pomace flour. Foods. 9: 763. 10.3390/foods9060763

Karaman, S., Toker, Ö.S., Yüksel, F., Çam, M., Kayacier, A., and Dogan, M., 2014. Physicochemical, bioactive, and sensory properties of persimmon-based ice cream: Technique for order preference by similarity to ideal solution to determine optimum concentration. Journal of Dairy Science. 97: 97–110. 10.3168/jds.2013-7111

Kavas, N., and Kavas, G., 2016. Probiotic frozen yoghurt production using camel milk (Camelus dromedarius) with improved functions by strawberry guava (Psidium littorale var. cattleianum) fortification. British Journal of Applied Science and Technology. 14: 1. 10.9734/BJAST/2016/23683

Kebary, K.M.K., and Hussein, S.A., 1999. Manufacture of low fat zabady using different fat substitutes. Acta Alimentaria. 28: 1–14. 10.1556/AAlim.28.1999.2.1

Khalaf, A.T., Wei, Y., Alneamah, S.J.A., Al-Shawi, S.G., Kadir, S.Y.A., Zainol, J., et al. 2021. What is new in the preventive and therapeutic role of dairy products as nutraceuticals and functional foods? BioMed Research International. 2021: 8823222. 10.1155/2021/8823222

Khaleel, S.M.J., Jaran, A.S., and Haddadin, M.S.Y., 2016. Evaluation of total phenolic content and antioxidant activity of three leaf extracts of Ziziphus spina-christi (Sedr.) grown in Jordan. Journal of Advances in Medicine and Medical Research. 14(6): 1–8. 10.9734/BJMMR/2016/24935

Khubber, S., Chaturvedi, K., Thakur, N., Sharma, N., and Yadav, S.K., 2021. Low-methoxyl pectin stabilizes low-fat set yoghurt and improves their physicochemical properties, rheology, microstructure and sensory liking. Food Hydrocolloids. 111: 106240. 10.1016/j.foodhyd.2020.106240

Khurana, H.K., and Kanawjia, S.K., 2007. Recent trends in development of fermented milks. Current Nutrition & Food Science. 3: 91–108. 10.2174/1573401310703010091

Lees, G.J., and Jago, G.R., 1970. The estimation of diacetyl in the presence of other carbonyl compounds. Journal of Dairy Research. 37: 129–132. 10.1017/S0022029900013145

Liang, L.I., and Luo, Y., 2020. Casein and pectin: Structures, interactions, and applications. Trends in Food Science and Technology. 97: 391–403. 10.1016/j.tifs.2020.01.027

Martín-Diana, A.B., Janer, C., Peláez, C., and Requena, T., 2003. Development of a fermented goat’s milk containing probiotic bacteria. International Dairy Journal. 13: 827–833. 10.1016/S0958-6946(03)00117-1

Mohamed, F.A.E.-F., Salama, H.H., El-Sayed, S.M., El-Sayed, H.S., and Zahran, H.A.-H., 2018. Utilization of natural antimicrobial and antioxidant of Moringa oleifera leaves extract in manufacture of cream cheese. Journal of Biological Sciences. 18(2): 92–106. 10.3923/jbs.2018.92.106

Najgebauer-Lejko, D., Witek, M., Żmudziński, D., and Ptaszek, A., 2020. Changes in the viscosity, textural properties, and water status in yogurt gel upon supplementation with green and Pu-erh teas. Journal of Dairy Science. 103: 11039–11049. 10.3168/jds.2020-19032

Ogbulie, J., Uwaezuoke, J., and Cydor, S.I., 1998. Introductory microbiology practical Oweri. Nigeria: Springfield Publishers Owerri; pp: 36–51.

Oliveira, A., Alexandre, E.M.C., Coelho, M., Lopes, C., Almeida, D.P.F., and Pintado, M., 2015. Incorporation of strawberries preparation in yoghurt: Impact on phytochemicals and milk proteins. Food Chem 171, 370–378. 10.1016/j.foodchem.2014.08.107

Pakseresht, S., Mazaheri Tehrani, M., and Razavi, S.M.A., 2017. Optimization of low-fat set-type yoghurt: Effect of altered whey protein to casein ratio, fat content and microbial transglutaminase on rheological and sensorial properties. Journal of Food Science and Technology. 54: 2351–2360. 10.1007/s13197-017-2675-8

Pan, Y., Qin, R., Hou, M., Xue, J., Zhou, M., Xu, L., et al. 2022. The interactions of polyphenols with Fe and their application in Fenton/Fenton-like reactions. Separation and Purification Technology. 300: 121831. 10.1016/j.seppur.2022.121831

Popescu, L., Ceșco, T., Gurev, A., Ghendov-Mosanu, A., Sturza, R., and Tarna, R., 2022. Impact of apple pomace powder on the bioactivity, and the sensory and textural characteristics of yogurt. Foods. 11: 3565. 10.3390/foods11223565

Rabetafika, H.N., Bchir, B., Blecker, C., and Richel, A., 2014. Fractionation of apple by-products as source of new ingredients: Current situation and perspectives. Trends in Food Science and Technology. 40: 99–114. 10.1016/j.tifs.2014.08.004

Raikos, V., Ni, H., Hayes, H., and Ranawana, V., 2018. Antioxidant properties of a yogurt beverage enriched with salal (Gaultheria shallon) berries and blackcurrant (Ribes nigrum) pomace during cold storage. Beverages. 5: 2. 10.3390/beverages5010002

Ronak, P., Jana, A.H., Hiral, M., and Balakrishnan, S., 2016. Process standardization for the manufacture of mango flavoured steamed sweetened concentrated yoghurt (Bhapadahi). Journal of Dairy, Veterinary and Animal Research. 4: 293–303. 10.15406/jdvar.2016.04.00119

Salih, M.M., and Hamid, O.I.A., 2013. Effect of fortifying camel’s milk with skim milk powder on the physicochemical, microbiological and sensory characteristics of set yoghurt. Advance Journal of Food Science and Technology. 5: 765–770. 10.19026/ajfst.5.3161

Sánchez, B., Delgado, S., Blanco-Míguez, A., Lourenço, A., Gueimonde, M., and Margolles, A., 2017. Probiotics, gut microbiota, and their influence on host health and disease. Molecular Nutrition and Food Research. 61(1): 1600240. 10.1002/mnfr.201600240

Sánchez, L., Pérez, M.D., and Parrón, J.A., 2020. HPP in dairy products: Impact on quality and applications. In: Present and future of high pressure processing. USA: Elsevier; pp. 245–272. 10.1016/B978-0-12-816405-1.00011-X

Sanz, T., Salvador, A., Jimenez, A., and Fiszman, S.M., 2008. Yogurt enrichment with functional asparagus fibre. Effect of fibre extraction method on rheological properties, colour, and sensory acceptance. European Food Research and Technology. 227: 1515–1521. 10.1007/s00217-008-0874-2

Savatović, S.M., Ćetković, G.S., Đilas, S.M., Tumbas, V.T., Čanadanović-Brunet, J.M., Četojević-Simin, D.D., et al. 2008. Antioxidant and antiproliferative activity of Granny Smith apple pomace. Acta Periodica Technologica. 39(39): 201–212. 10.2298/APT0839201S

Serra, M., Trujillo, A.J., Guamis, B., and Ferragut, V., 2009. Flavour profiles and survival of starter cultures of yoghurt produced from high-pressure homogenized milk. International Dairy Journal. 19: 100–106. 10.1016/j.idairyj.2008.08.002

Shahein, M.R., Atwaa, E.S.H., El-Zahar, K.M., Elmaadawy, A.A., Hijazy, H.H.A., Sitohy, M.Z., et al. 2022. Remedial action of yoghurt enriched with watermelon seed milk on renal injured hyperuricemic rats. Fermentation. 8: 41. 10.3390/fermentation8020041

Shishir, M. R. I., Saifullah, M., Hashim, S. B., Aalim, H., Bilal, M., Khan, S., ... & Zou, X. 2024. Micro and nano-encapsulated natural products in yogurt: An emerging trend to achieve multifunctional benefits in product quality and human health. Food Hydrocolloids, 110124. 10.1016/j.foodhyd.2024.110124

Soliman, T.N., and Shehata, S.H., 2019. Characteristics of fermented camel’s milk fortified with kiwi or avocado fruits. Acta Scientiarum Polonorum, Technologia Alimentaria. 18: 53–63. 10.17306/J.AFS.0602

Staffolo, M. Dello, Bertola, N., and Martino, M., 2004. Influence of dietary fiber addition on sensory and rheological properties of yogurt. International Dairy Journal. 14: 263–268. 10.1016/j.idairyj.2003.08.004

Swelam, S., Zommara, M.A., Abd El-Aziz, A.E.-A.M., Elgammal, N.A., Baty, R.S., and Elmahallawy, E.K., 2021. Insights into chufa milk frozen yoghurt as cheap functional frozen yoghurt with high nutritional value. Fermentation. 7 : 255. 10.3390/fermentation7040255

Tahir, M.N., Riaz, R., Bilal, M., and Nouman, H.M., 2019. Current standing and future challenges of dairying in Pakistan: A status update. In: Javed, K., editor. Milk production, processing and marketing. IntechOpen; pp: 1–24. 10.5772/intechopen.83494

Tamime, A.Y., and Robinson, R.K., 2007. Yoghurt: Science and technology. 2nd edition. FL, USA: Elsevier. 10.1201/NOE1420044539

Thilakarathna, W.P.D.W., Langille, M.G.I., and Rupasinghe, H.P.V., 2018. Polyphenol-based prebiotics and synbiotics: Potential for cancer chemoprevention. Current Opinion in Food Science. 20: 51–57. 10.1016/j.cofs.2018.02.011

Tremblay, A., & Panahi, S. 2017. Yogurt consumption as a signature of a healthy diet and lifestyle. The Journal of Nutrition, 147(7), 1476S-1480S. 10.3945/jn.116.245522

Varnaitė, L., Keršienė, M., Šipailienė, A., Kazernavičiūtė, R., Venskutonis, P.R., and Leskauskaitė, D., 2022. Fiber-rich cranberry pomace as food ingredient with functional activity for yogurt production. Foods. 11: 758. 10.3390/foods11050758

Vodnar, D.C., Călinoiu, L.F., Dulf, F.V., Ştefănescu, B.E., Crişan, G., and Socaciu, C., 2017. Identification of the bioactive compounds and antioxidant, antimutagenic and antimicrobial activities of thermally processed agro-industrial waste. Food Chemistry. 231: 131–140. 10.1016/j.foodchem.2017.03.131

Wallace, T.C., and Giusti, M.M., 2008. Determination of color, pigment, and phenolic stability in yogurt systems colored with nonacylated anthocyanins from Berberis boliviana L. as compared to other natural/synthetic colorants. Journal of Food Science. 73: C241–C248. 10.1111/j.1750-3841.2008.00706.x

Walstra, P., Wouters, J.T.M., and Geurts, T.J., 2006. Dairy science and technology. 2nd edition. Boca Raton: CRC Taylor & Francis. 10.1201/9781420028010

Wang, X., Kristo, E., and LaPointe, G., 2019. The effect of apple pomace on the texture, rheology and microstructure of set type yogurt. Food Hydrocolloids. 91: 83–91. 10.1016/j.foodhyd.2019.01.004

Wilkowska, A., Nowak, A., Antczak-Chrobot, A., Motyl, I., Czyżowska, A., Paliwoda, A., 2019. Structurally different pectic oligosaccharides produced from apple pomace and their biological activity in vitro. Foods 8, 365. 10.3390/foods8090365

Wolfe, K., Wu, X., and Liu, R.H., 2003. Antioxidant activity of apple peels. Journal of Agriculture and Food Chemistry. 51: 609–614. 10.1021/jf020782a

XinYa, W., Kristo, E., and LaPointe, G., 2019. Adding apple pomace as a functional ingredient in stirred-type yogurt and yogurt drinks. In: Conference: 2019 Dairy Research and Innovation Day, Guelph. 10.1016/j.foodhyd.2019.105453