Download

PAPER

Antimicrobial synergistic effects of dietary flavonoids rutin and quercetin in combination with antibiotics gentamicin and ceftriaxone against E. coli (MDR) and P. mirabilis (XDR) strains isolated from human infections: Implications for food–medicine interactions

Tarig M.S. Alnour1, 2, 3, Eltayib H. Ahmed-Abakur1, 2, Elmutuz H. Elssaig1, 2, Faisel M. Abuduhier1, 2, Mohammad Fahad Ullah1, 2*

1Department of Medical Laboratory Technology (FAMS), University of Tabuk, Tabuk, Saudi Arabia;

2Prince Fahad Research Chair, University of Tabuk, Tabuk, Saudi Arabia;

3Faculty of Medical Laboratory Science, Department of Microbiology and Immunology, Alzaiem Alazhari University, Khartoum North, Sudan

Abstract

Antimicrobial resistance has emerged as a major global concern for public health in the last two decades, which tends to compromise the existing drug regimens in treating common or severe infections. According to WHO, three million laboratory-confirmed bacterial infections have been reported from 70 countries in 2019, caused by pathogens of concern. The drug-resistant bacterial strains are characterized as multidrug-resistant (MDR), extensively drug-resistant (XDR), and pan drug-resistant (PDR) based on the different patterns of resistance. It is believed that novel strategies are essentially required to counter and eliminate drug resistance in a cost- effective manner to benefit the world population. Natural compounds and certain dietary agents show potential antimicrobial properties and these have been used since ancient times to treat human infections. In this study, we have investigated the synergistic effects of dietary flavonoids rutin and quercetin with antibiotics gentamicin (an aminoglycoside) and ceftriaxone (a third-generation cephalosporin) against the drug-resistant superbugs; clinical isolates including Escherichia coli (MDR), Proteus mirabilis (XDR), and Klebsiella pneumoniae (PDR). Conventional MIC assay and checkerboard test were used as standard protocols. Our results show that rutin and quercetin restore the antimicrobial activity of the antibiotics against MDR and XDR strains, while no such effect was observed in the case of the PDR strain. Quercetin, which is a aglycone of flavonoid rutin, demonstrates higher synergistic effects with ceftriaxone compared to rutin. Since rutin and quercetin are essentially present in human diets as constituents of fruits and vegetables, their use as nutraceuticals in adjuvant therapies in combination with antibiotics against drug resistance is a promising therapeutic strategy against superbug infections.

Key words: nutraceuticals, rutin, quercetin, synergism, MDR, XDR, PDR, Superbugs, infections

*Corresponding Author: Mohammad Fahad Ullah, Department of Medical Laboratory Technology (FAMS), University of Tabuk, Tabuk, Saudi Arabia. Email: [email protected]

Received: 12 March 2022; Accepted: 1 April 2022; Published: 21 April 2022

DOI: 10.15586/ijfs.v34i2.2196

© 2022 Codon Publications
This is an Open Access article distributed under the terms of the Creative Commons Attribution-NonCommercial-ShareAlike 4.0 International (CC BY-NC-SA 4.0). License (http://creativecommons.org/licenses/by-nc-sa/4.0/)

Introduction

Antimicrobial resistance (AMR) develops when the microorganisms begin to display least or no susceptibility towards a previously effective antimicrobial drug or an antibiotic. AMR, including antibacterial resistance, has emerged as a major global concern for public health in the last two decades, which tends to compromise the existing drug regimens in treating common or severe infections (Oldenkamp et al., 2021). A recent report of WHO’s fourth Global Antimicrobial Resistance and Use Surveillance System has shown 3 million laboratory- confirmed bacterial infections reported from 70 countries in 2019, caused by pathogens of concern (GLASS, 2021). In particular, the data demonstrate discouraging trends for low- and middle-income countries where antibacterial resistance is steadily increasing, which adds to the existing burden of poor public healthcare in these countries. In United States alone, which has a robust healthcare system, at least 2.8 million antibiotic-resistant infections are reported each year, with more than 35,000 people dying due to ineffective treatment (CDC, 2019). The drug- resistant bacterial strains are characterized as multidrug- resistant (MDR), extensively drug-resistant (XDR), and pan drug-resistant (PDR) based on the different patterns of resistance. An acquired nonsusceptibility to at least one antimicrobial in three or more antimicrobial classes defines MDR; a nonsusceptibility to at least one agent in all except one or two antimicrobial classes defines XDR; and a nonsusceptibility to all agents in all antimicrobial classes defines PDR (Magiorakos et al., 2012).

Multidrug-resistant Escherichia coli strains have been reported to be significantly associated with a high incidence of morbidity and mortality (de Been et al., 2014). Proteus mirabilis displays an extensive drug-resistant phenotype with intrinsic resistance to antibiotics due to the presence of Salmonella genomic island (Qin et al., 2015). Klebsiella pneumoniae is an example of PDR bacterial strain which shows resistance to all available classes of antibiotics and results in high mortality among patients with bloodstream infections (Papadimitriou-Olivgeris et al., 2021).

It is believed that novel strategies are essentially required to counter and eliminate drug resistance in a cost- effective manner to benefit the world population, particularly the undeveloped and developing nations which are facing an imminent threat according to the current statistics. Natural compounds and certain dietary agents show potential antimicrobial properties and these have been used since ancient times to treat human infections (Gonelimali et al., 2018; Udeh et al., 2020; Xu et al., 2017). Flavonoids rutin (quercetin-3-O-rutinose) and its aglycone (quercetin) display important pharmacological properties including anti-inflammatory, anti-carcinogenic, and neuroprotective activities (Batiha et al., 2020; Yong et al., 2020). The chemical structures of the two phytochemicals, rutin and quercetin, are similar, with a rutino-side being absent in quercetin at C3 (Yang et al., 2019). Numerous studies have shown that the use of certain flavonoids diminishes the resistance to antibiotics and demonstrates susceptibility in a synergistic manner, which offers a consequential therapeutic strategy against drug-resistant bacteria (Miklasińska-Majdanik et al., 2018). The presence of glycosidic structures in flavonoids is known to alter their biological activities, as aglycones are likely to have more potent biological activities compared to glycosides (Williamson et al., 1996; Xiao, 2017). Furthermore, flavonoid showed low cytotoxicity, highlighting its higher safety index (Nizer et al., 2020). Since these flavonoids are dietary and are essential constituents of human diets, their utilization in repurposing pharmacological strategies have an advantage of no or least associated adverse effects.

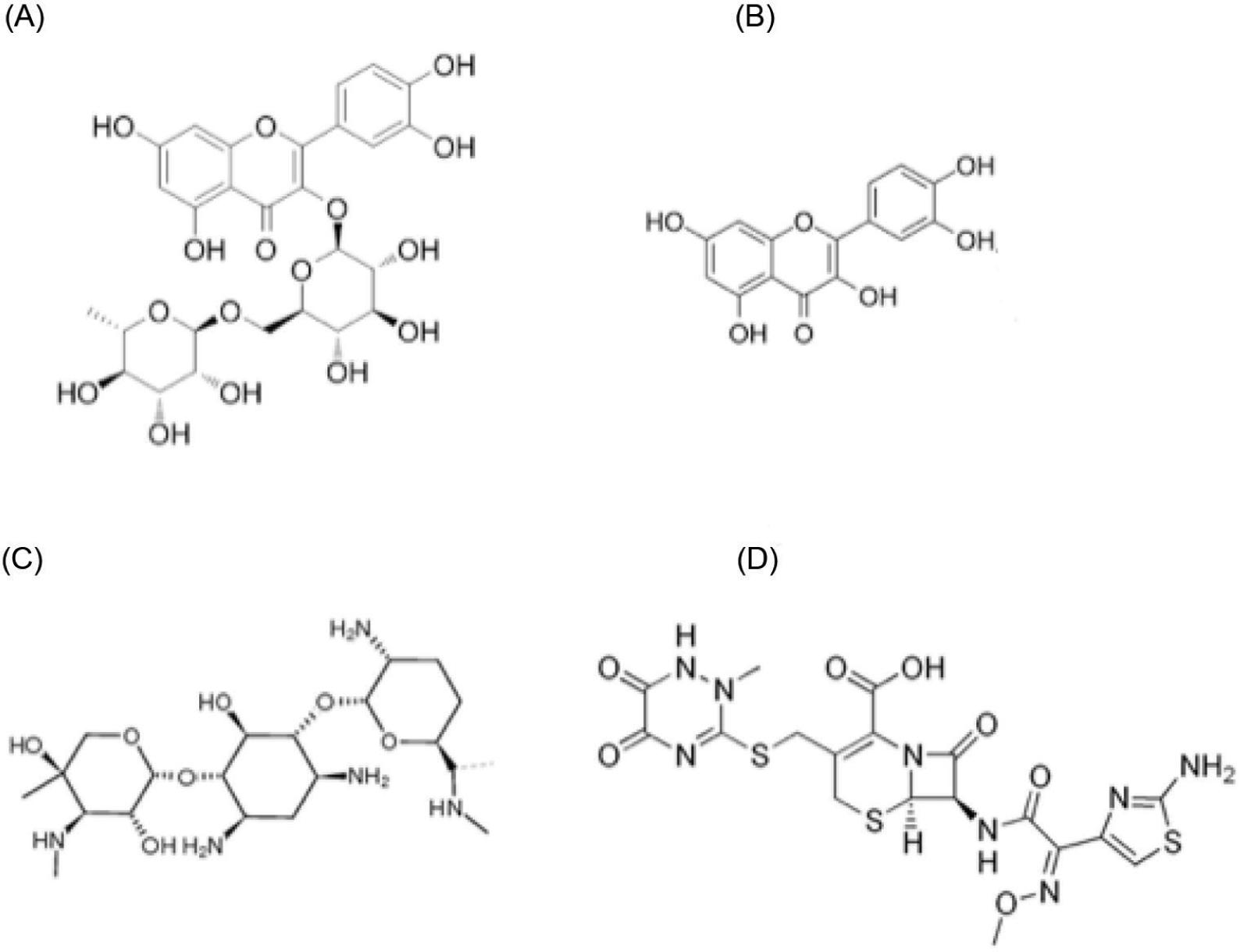
In the current study, we examine the synergistic effects of dietary flavonoids rutin and quercetin with antibiotics gentamicin (an aminoglycoside) and ceftriaxone (a third-generation cephalosporin) (Figures 1 and 2) against the drug-resistant superbugs; clinical isolates including E. coli (MDR), P. mirabilis (XDR) and K. pneumoniae (PDR).

Figure 1. Schematic representation of the research theme.

Figure 2. Chemical structures of flavonoids, rutin (A) and quercetin (B), and antibiotics, gentamicin (C) and ceftriaxone (D).

Materials and methods

This study is an analytical cross-sectional study conducted in the Prince Fahd Research Chair, University of Tabuk. As the study used an in vitro protocol that involved clinical isolates without patient’s data, there was no need for patient’s consent or ethical approval.

Bacterial isolates

Three clinical bacterial isolates that showed different antibiotic resistance patterns were identified in Prince Fahd Research Chair for biological studies, University of Tabuk (Alnour et al., 2021) and used in this study to demonstrate the antimicrobial effect of flavonoids, rutin and quercetin, in combination with antibiotics gentamicin and ceftriaxone. The drug-resistant isolates were E. coli, P. mirabilis, and K. pneumoniae, which showed MDR, XDR, and PDR, respectively. These isolates did not respond to the standard MIC level of gentamicin and ceftriaxone. The standard MIC level of gentamicin and ceftriaxone is 16 µg/mL and 64 µg/mL, respectively (Terbtothakun et al., 2021).

Preparation of stock solutions

Rutin and quercetin (Sigma) were dissolved in 10% dimethyl sulfoxide (DMSO) to prepare a stock solution of 1 mg/mL. Nitro-blue tetrazolium (NBT) (Sigma) was prepared to reach the final concentration of 50 µg/mL whereas gentamicin and ceftriaxone (Sigma) stock solutions were prepared to reach the concentrations of 16 to 64 and 64 to 512 µg/mL, respectively.

Minimum inhibitory concentration broth microdilution assay

Conventional MIC assay was performed using the NBT microplate dilution method. In brief, a two-fold serial dilution to the target flavonoid and antimicrobial agents was prepared; overnight broth cultures were adjusted to Mcfarland standard, 100 μL of standardized culture was added to each well in 96-well plate to obtain final bacterial suspension of 105CFU/mL, 50 μL of NBT was then added in all wells; antibiotics, gentamicin and ceftriaxone, and flavonoids, quercetin and rutin, were added to the wells to reach the required concentrations for each of these individually and in combination. The combination was as follows: rutin-gentamicin, rutin-ceftriaxone, quercetin-gentamicin, and quercetin-ceftriaxone. Positive control (resistance strain), negative control (well free of bacteria) were included. The plate was incubated at 37°C for 18–24 h, reduction of NBT (colorless) to formazan (blue) indicated the bacterial growth (resistance). The experiments were done in triplicate for three independent repeats.

Checkerboard test

Checkerboard assay, as described by Siriwong et al., 2016 was performed to determine the synergistic activity of rutin and quercetin with gentamicin and ceftriaxone against MDR E. coli, XDR P. mirabilis, and PDR K . pneumonia. In brief, 50 µL of 105 CFU/mL bacterial suspension was treated with varying concentrations in combination: rutin with gentamicin, rutin with ceftriaxone, quercetin with gentamicin, and quercetin with ceftriaxone. Growth positive control was included containing bacterial suspension in Muller and Hinton broth and 10% DMSO, while growth negative control contains reaction mixture without addition of bacterial suspension. 50 µL of 50 µg/mL NBT was added to each well and the microtiter plate was incubated at 37°C for 18 h. The interaction between the two agents was calculated by the fractional inhibitory concentration (FIC) index of the combination as the following (Terbtothakun et al., 2021):

FIC = MIC of component A in combination/MIC of component A alone + MIC of component B in combination/MIC of component B alone

Results were reported as synergism when the combination index is 0.5 or less.

Results

In order to study the interaction of flavonoids (rutin and quercetin) with antibiotics on resistant clinical isolates, combinations of the candidate compounds with gentamicin or ceftriaxone were evaluated by MIC and checkerboard assay.

The NBT microdilution results showed that the three isolates, E. coli (MDR), P. mirabilis (XDR), and K. pneumoniae (PDR), did not show any response when tested against the individual agents; rutin (MIC 1,000 µg/mL), quercetin (MIC 2,000 µg/mL), ceftriaxone (MIC 64 µg/mL), and gentamicin (MIC 16µg/mL) (Figure 3). It was found that the minimum inhibitory response for gentamicin was observed at 64 µg/mL while for ceftriaxone it was 512 µg/mL, which were significantly higher than the standard MIC for gentamicin and ceftriaxone (Figure 3).

Figure 3. Minimum inhibitory concentrations of flavonoids and antimicrobials against the antibiotic-resistant clinical isolates, MDR, XDR, and PDR.

Interestingly, growth inhibition of MDR and XDR isolates was observed when the quercetin at a concentration of 700 µg/mL was added to 64 µg/mL and 128 µg/mL of gentamicin, respectively. However, the combination of rutin (serially diluted up to 1,000 µg/mL) with gentamicin (16 µg/mL) did not affect the resistance patterns of XDR and PDR isolates and inhibited the growth of MDR isolate only.

The results of the checkerboard assay showed a promising synergism effect between quercetin and ceftriaxone against both MDR isolate and XDR isolate; this synergism occurred at a concentration ranging between 100 and 800 µg/mL and 40 and 180 µg/mL for quercetin and ceftriaxone, respectively. The synergism is observed to increase with increasing the concentration of the antibiotic and reducing the concentration of quercetin (Figure 4a). This combination does not show effects against PDR Klebsiella pneumonia. While the combination between the quercetin and gentamicin displayed a weak effect against the MDR isolate and significant synergism against the XDR isolate, the synergism effect occurred at a concentration ranging between 200 and 700 µg/mL and 15 and 40µg/mL for quercetin and gentamicin, respectively. Similarly, no effect against PDR Klebsiella pneumonia was observed (Figure 4b). Surprisingly, this synergism occurred within the standard MIC level of gentamicin and ceftriaxone.

Figure 4. (A) Checkerboard test showed the combined effect of quercetin (Q) and ceftriaxone (C). (B) Checkerboard test showed the combined effect of quercetin (Q) and gentamicin (G). Grey shade indicates microbial growth (resistant isolate); white shade indicates growth inhibition.

*Checkerboard result: Synergism is considered when the FMIC is equal to or less than 0.5.

The combination between rutin and ceftriaxone displayed a significant effect against the MDR isolate and an insignificant effect against the XDR isolate (Figure 5a); the synergism effect was reported at concentrations of 100 and 180 µg/mL for rutin and ceftriaxone, respectively; other concentrations exhibited a weak effect. The combination between rutin and gentamicin showed only a weak effect on the MDR isolate and does not affect both XDR and PDR isolates (Figure 5b).

Figure 5. Figure 5. (A) Checkerboard test showed the combined effect of rutin (R) and ceftriaxone (C). (B) Checkerboard test showed the combined effect of rutin (R) and gentamicin (G). Grey shade indicates microbial growth (resistant isolate); white shade indicates growth inhibition.

*Checkerboard result: Synergism is considered when the FMIC is equal to or less than 0.5.

Discussion

The development of new antibiotic agents is costly, time-consuming, and needs various stages of toxicological assessments to ensure safety. A combination of existing antimicrobial agents and dietary flavonoids that display pharmacological properties has become an effective therapeutic strategy against numerous kinds of infections caused by MDR bacteria (Terbtothakun et al., 2021).

The present study aimed to determine the antimicrobial potential of two flavonoids (rutin and quercetin) in combination with gentamicin and ceftriaxone against superbug bacterial isolates which showed a different pattern of resistance (MDR, XDR, and PDR). These isolates were selected to trace the antimicrobial efficiency of flavonoids with the standard drugs, as these have been reported as highly resistant and difficult to be treated, and the emergence of such superbugs poses a consistent threat to human lives world over (Adegoke et al., 2017; Alnour et al., 2021). The selected antimicrobial agents to be combined with flavonoids were gentamicin (aminoglycosides), which is an important class of antibiotics that are commonly used for the treatment of severe infections (Terbtothakun et al., 2021), and ceftriaxone, which is a beta-lactam antibiotic and a third-generation cephalosporin, that is marked by relatively high stability towards the beta-lactamases of gram-negative bacilli and is shown to be effective against a broad range of organisms (Maina et al., 2012).

Our results showed that gentamicin, ceftriaxone, and flavonoids alone failed to inhibit the growth of MDR E. coli, XDR P. mirabilis, and PDR K. pneumoniae. A similar result was obtained by Arima et al., 2002 and Nizer et al., 2020 who conducted a study to evaluate the antibacterial activity of rutin isolated from Tontelea micrantha leaves and concluded that rutin is not a promising antimicrobial agent. Contradictory to these findings, several other reports showed antimicrobial effects of flavonoids against several bacterial isolates. As such, Araruna et al., 2012 conducted a similar study that evaluated the antibiotic modifying activity of pilocarpine and rutin, and they demonstrated the inhibitory effects of rutin against E. coli. A comparable result for rutin was reported by Pimentel et al., 2013 against P. mirabilis, P. aeruginosa, and Klebsiella species. Moreover, Wang et al., 2018, demonstrated the bacteriostatic effect of quercetin and further reported an inhibitory effect on the growth of P. aeruginosa, S. aureus, S. Typhimurium, and E. coli. These variations could be attributed to the pattern of resistance shown by isolates under the study and the time of the study. In our study, we utilized E. coli (MDR), P. mirabilis (XDR), and K. pneumoniae (PDR) clinical isolates, which were bacterial strains of the enterobacteriaceae family, that are known to be naturally competent and can uptake naked DNA from the environment in appropriate conditions (Patil et al., 2019).

Interestingly, our results showed promising antibacterial activity of flavonoids when they were combined with gentamicin and ceftriaxone; the synergistic effects of gentamicin and ceftriaxone against the MDR isolate and the XDR isolate were observed in the presence of rutin or quercetin. The resistance pattern against gentamicin and ceftriaxone was converted to a susceptible pattern even at a low concentration of 15 µg/mL and 40 µg/mL for gentamicin and ceftriaxone, respectively. Numerous studies have evaluated the antimicrobial activities of flavonoids against various clinical isolates, but only a few reports showed inhibitory effects of rutin and quercetin against MDR and none describe their effect against XDR or PDR. It is believed that the restoring of the antimicrobial activities of the antibiotics in the presence of the flavonoids might be due to the ability of flavonoids to enhance the antibiotic drug efficacy (Vipin et al., 2020) or due to the simultaneous activities of the agents on two different cellular targets (Banik and Shamsuzzaman, 2021). Thus, the combination of quercetin or rutin with ceftriaxone or gentamicin generates multiple effects against the bacteria and displays strong growth inhibitory effects. However, rutin has been reported to possess an efficient mechanism against bacterial growth by inhibiting DNA gyrase and topoisomerase (Alajmi et al., 2018), and the combination of these molecules with a cell wall inhibitor, such as ceftriaxone, or protein synthesis inhibitor, such as gentamicin, can interfere with peptidoglycan synthesis (Fair and Tor 2014). The flavonoid quercetin acts as a cell wall and cell membrane inhibitor (Wang et al., 2018; Yang et al., 2020). Recently, Vipin et al., 2020 examined the effectiveness of several antibiotics, including ceftriaxone and gentamicin, in combination with quercetin, and reported synergistic activity of quercetin against drug-resistant Pseudomonas aeruginosa and stated that the ability of quercetin to empower the aminoglycoside activity was due to the quorum sensing inhibitory properties of flavonoids. In a related study, Terbtothakun et al., 2021 reported synergistic effects of aminoglycosides when combined with meropenem and stated that the penetration of aminoglycosides into the cytosol of bacteria is improved by other antimicrobial agents, which could also explain the synergism with flavonoids as reported in our study. The study showed that the addition of aminoglycosides as adjunctive therapy to meropenem can regain meropenem activity against carbapenem-resistant Enterobacteriaceae isolates harboring blaNDM (Terbtothakun et al., 2021).

The combination of flavonoids and antibiotics in our study had no effect on the PDR isolates; this may be due to the cumulative effects of multi-resistance mechanisms which are expressed by PAR isolates, such as overexpression of the efflux pump and porin with the β-lactamases, that lead to a high level of resistance.

Conclusion

Our findings showed a potential synergistic pattern of rutin and quercetin in combination with gentamicin and ceftriaxone. This finding suggests that rutin and quercetin can shift the resistance mechanisms of antimicrobial agents into susceptible ones, thereby restoring the drug efficacy. Since rutin and quercetin are essentially present in human diets as constituents of fruits and vegetables, their use as nutraceuticals in adjuvant therapies in combination with antibiotics against drug resistance is a promising repurposing therapeutic strategy against superbug infections.

Acknowledgment

The authors declare that this research was not funded partially or completely by any external support. The authors acknowledge the research facility at Prince Fahd Research Chair, University of Tabuk.

Conflict of Interest

The authors agreed that there are no conflict of interest for this research.

Data Availability

The data associated with the current study have been incorporated in this manuscript. Further queries can be forwarded to the corresponding author.

Research involving Human Participants and/or Animals

Not applicable.

Informed Consent

Not applicable

REFERENCES

Adegoke, A., Faleye, A., Singh, G. and Stenström, T., 2017. Antibiotic resistant superbugs: assessment of the interrelationship of occurrence in clinical settings and environmental niches. Molecules 22: 29. 10.3390/molecules22010029

Alajmi, M.F., Alam, P., Rehman, M.T., Husain, F.M., Khan, A.A., Siddiqui, N.A., et al., 2018. Interspecies anticancer and antimicrobial activities of genus solanum and estimation of rutin by validated UPLC-PDA method. Evidence-Based Complementary and Alternative Medicine 2018: Article ID 6040815. 10.1155/2018/6040815

Alnour, T.M.S., Elssaig, E.H., Abuduhier, F.M., Alfifi, K.A.S., Abusuliman, M.S., Albalawi, T. and Ahmed-Abakur, E.H., 2021. Phenotypic and genotypic characterization of antibiotic resistant gram negative bacteria isolated in Tabuk City, Saudi Arabia. African Journal of Microbiology Research 15(8): 433–439. 10.1101/2021.02.01.429288

Araruna, M.K.A., Brito, S.A., Morais-Braga, M.F.B., Santos, K.K.A., Souza, T.M., Leite, T.R., Costa, J.G.M. and Coutinho, H.D.M., 2012. Evaluation of antibiotic & antibiotic modifying activity of pilocarpine & rutin. Indian Journal of Medical Research 135(2): 252–254.

Arima, H., Ashida, H. and Danno, G. Rutin-enhanced antibacterial activities of flavonoids against Bacillus cereus and Salmonella enteritidis. Bioscience, Biotechnology, and Biochemistry 66(5): 1009–1014. 10.1271/bbb.66.1009

Banik, N. and Shamsuzzaman, S.M., 2021. Evaluation of effectiveness of antibiotic combination therapy in multi drug resistant Escherichia Coli in vitro and in vivo. Fortune Journal of Health Sciences 4: 470–478. 10.26502/fjhs.036

Batiha, G.E., Beshbishy, A.M., Ikram, M., et al., 2020. The pharmacological activity, biochemical properties, and pharmacokinetics of the major natural polyphenolic flavonoid: quercetin. Foods 9(3): 374. 10.3390/foods9030374

CDC 2019: Centers for Disease Control and Prevention. Drug resistance report 2019. Available at: https://www.cdc.gov/drugresistance/pdf/threats-report/2019-ar-threats-report-508.pdf.

De Been, M. et al., 2014. Dissemination of cephalosporin resistance genes between Escherichia coli strains from farm animals and humans by specific plasmid lineages. PLoS Genetics 10(12): e1004776. 10.1371/journal.pgen.1004776

Fair, R.J. and Tor, Y., 2014. Antibiotics and bacterial resistance in the 21st century. Perspectives in Medicinal Chemistry 6: 25–64. 10.4137/PMC.S14459

GLASS 2021: Global antimicrobial resistance and use surveillance system (GLASS) report: 2021. Available at: https://www.who.int/publications/i/item/9789240027336.

Gonelimalim F.D., Lin, J. and Miao, W., et al., 2018. Antimicrobial properties and mechanism of action of some plant extracts against food pathogens and spoilage microorganisms. Frontiers in Microbiology 9: 1639. 10.3389/fmicb.2018.01639

Magiorakos, A.P., Srinivasan, A., Carey, R.B., et al. Multidrug-resistant, extensively drug-resistant and pandrug-resistant bacteria: an international expert proposal for interim standard definitions for acquired resistance. Clinical Microbiology And Infection 18(3): 268–281. 10.1111/j.1469-0691.2011.03570.x

Maina, D., Revathi, G., Kariuki, S., Ozwara, H., 2012. Genotypes and cephalosporin susceptibility in extended-spectrum beta-lactamase producing enterobacteriaceae in the community. Journal of Infection in Developing Countries. 6(6): 470–477. 10.3855/jidc.1456

Miklasińska-Majdanik, M., Kępa, M., Wojtyczka, R.D., Idzik, D. and Wąsik, T.J., 2018. Phenolic compounds diminish antibiotic resistance of Staphylococcus aureus clinical strains. International Journal of Environmental Research and Public Health 15(10): 2321. 10.3390/ijerph15102321

Nizer, W.S., Ferraz, A.C., Moraes, T.F., Ferreira, F., Magalhães, C., Vieira-Filho, S.A., et al., 2020. Antimicrobial activity of rutin isolated from T. micrantha leaves. Journal of Pharmaceutical Negative Results 11(1): 9–14. 10.4103/jpnr.JPNR_12_19

Oldenkamp, R., Schultsz, C., Mancini, E. and Cappuccio, A., 2021. Filling the gaps in the global prevalence map of clinical antimicrobial resistance. Proceedings of the National Academy of Sciences of the United States of America. 118(1): e2013515118. 10.3390/antibiotics10010076

Papadimitriou-Olivgeris, M., Bartzavali, C., Georgakopoulou, A., et al. Mortality of pandrug-resistant Klebsiella pneumoniae bloodstream infections in critically ill patients: a retrospective cohort of 115 episodes. Antibiotics (Basel) 10(1): 76. 10.3390/antibiotics10010076

Patil, S., Chen, H., Zhang, X., Lian, M., Ren, P. and Wen, F., 2019. Antimicrobial resistance and resistance determinant insights into multi-drug resistant gram-negative bacteria isolates from paediatric patients in China. Infection and Drug Resistance 22(12): 3625–3634. 10.2147/IDR.S223736

Pimentel, R.B.D.Q., da Costa, C. A., Albuquerque, P.M. and Junior, S.D., 2013. Antimicrobial activity and rutin identification of honey produced by the stingless bee Melipona compressipes manaosensis and commercial honey. BMC Complementary Medicine 1(13): 151. 10.1186/1472-6882-13-151

Qin, S., Qi, H., Zhang, Q., et al., 2015. Emergence of extensively drug-resistant Proteus mirabilis harboring a conjugative NDM-1 plasmid and a novel Salmonella genomic Island 1 variant, SGI1-Z. Antimicrobial Agents and Chemotherapy; 59(10): 6601–6604. 10.1128/AAC.00292-15

Siriwong, S., Teethaisong, Y., Thumanu, K., Dunkhunthod B. and Eumkeb, G., 2016. The synergy and mode of action of quercetin plus amoxicillin against amoxicillin-resistant Staphylococcus epidermidis. BMC Pharmacology and Toxicology 17: 39. 10.1186/s40360-016-0083-8

Terbtothakun, P., Nwabor, O.F., Siriyong, T., Voravuthikunchai, S.P. and Chusri, S., 2021. Synergistic antibacterial effects of meropenem in combination with aminoglycosides against carbapenem-resistant Escherichia coli Harboring blaNDM-1 and blaNDM-5. Antibiotics 10: 1023. 10.3390/antibiotics10081023

Udeh, E.L., Nyila, M.A. and Kanu, S.A., 2020. Nutraceutical and antimicrobial potentials of Bambara groundnut (Vigna subterranean): a review. Heliyon 6(10): e05205. 10.1016/j.heliyon.2020.e05205

Vipin, C., Saptami, K., Fida, F., Mujeeburahiman, M., Rao, S., Athmika, A.B.A., et al., 2020. Potential synergistic activity of quercetin with antibiotics against multidrug-resistant clinical strains of Pseudomonas aeruginosa. PLoS One 15(11): e0241304. 10.1371/journal.pone.0241304

Wang, S., Yao, J., Zhou, B., Yang, J., Chaudry, M.T., Wang, M., et al., 2018. Bacteriostatic effect of quercetin as an antibiotic alternative in vivo and its antibacterial mechanism in vitro. Journal of Food Protection 81(1): 68–78. 10.4315/0362-028X.JFP-17-214

Williamson, G., Plumb, G.W., Uda, Y., Price, K.R. and Rhodes, M.J., 1996. Dietary quercetin glycosides: antioxidant activity and induction of the anticarcinogenic phase II marker enzyme quinone reductase in Hepalclc7 cells. Carcinogenesis 17(11): 2385–2387. 10.1093/carcin/17.11.2385

Xiao, J., 2017. Dietary flavonoid aglycones and their glycosides: which show better biological significance? Critical Reviews in Food Science and Nutrition 57(9): 1874–905.

Xu, C., Yagiz, Y., Zhao, L., Simonne, A., Lu, J. and Marshall, M.R., 2017. Fruit quality, nutraceutical and antimicrobial properties of 58 muscadine grape varieties (Vitis rotundifolia Michx.) grown in United States. Food Chemistry 215: 149–156. 10.1016/j.foodchem.2016.07.163

Yang, D., Wang, T., Long, M. and Li, P., 2020. Quercetin: Its main pharmacological activity and potential application in clinical medicine. Oxidative Medicine and Cellular Longevity 2020: Article ID 8825387. 10.1155/2020/8825387

Yang, J., Lee, H., Sung, J., Kim, Y., Jeong, H.S. and Lee, J., 2019. Conversion of rutin to quercetin by acid treatment in relation to biological activities. Preventive Nutrition and Food Science 24(3): 313–320. 10.3746/pnf.2019.24.3.313

Yong, D.O.C., Saker, S.R., Chellappan, D.K., et al., 2020. Molecular and immunological mechanisms underlying the various pharmacological properties of the potent bioflavonoid, rutin. Endocrine, Metabolic & Immune Disorders–Drug Targets 20(10): 1590–1596. 10.2174/1871530320666200503053846